【药物名称】BMS-212122
化学结构式(Chemical Structure):
参考文献No.33870
标题:Conformationally restricted aromatic inhibitors of microsomal triglyceride transfer protein and method
作者:Biller, S.A.; Dickson, J.K.; Lawrence, R.M.; Magnin, D.R.; Poss, M.A.; Robl, J.A.; Slusarchyk, W.A.; Sulsky, R.B.; Tino, J.A. (Bristol-Myers Squibb Co.)
来源:EP 0904262; JP 2000502355; WO 9726240
合成路线图解说明:

The lithium dianion of 9-fluorenecarboxylic acid (I) was alkylated with 1,4-dibromobutane (II) to afford bromo acid (III). After conversion of (III) to the corresponding acid chloride by treatment with oxalyl chloride, condensation with 2,2,2-trifluoroethylamine furnished the intermediate bromo amide (IV).

合成路线图解说明:

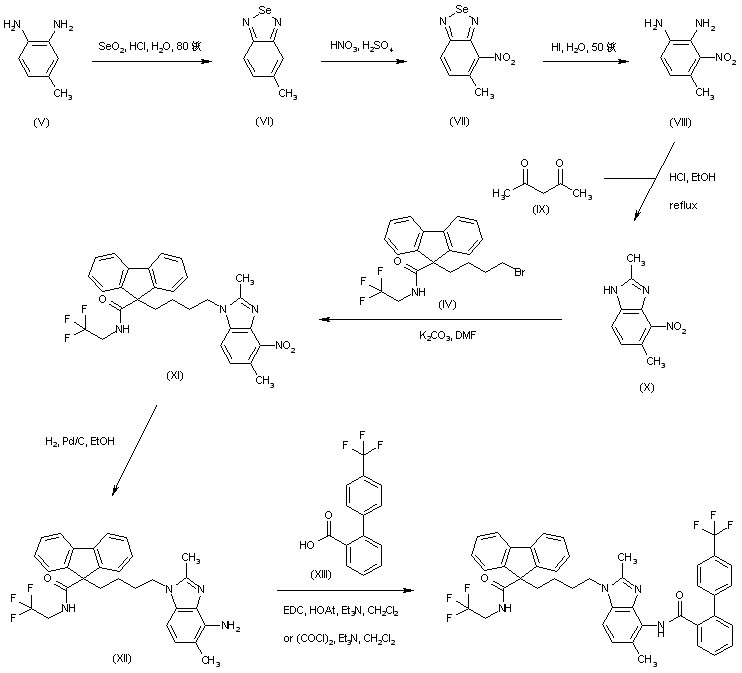
The requisite nitrodiamine (VIII) was prepared via conversion of 4-methyl-1,2-phenylenediamine (V) to the selenocycle (VI) upon treatment with SeO2 and HCl, followed by nitration to afford regioselectively the nitro derivative (VII). Conversion to the diamine (VIII) was effected by treatment of (VII) with HI. Subsequent reaction of (VIII) with 2,4-pentanedione (IX) in the presence of HCl gave rise to the benzimidazole (X). Alkylation of (X) with bromide (IV) using K2CO3 in DMF provided adduct (XI) as the major regioisomer. Catalytic hydrogenation of the nitro group of (XI) then gave amine (XII). Finally, coupling of amine (XII) with 4'-(trifluoromethyl)biphenyl-2-carboxylic acid (XIII) was achieved via EDC activation or by previous conversion of (XIII) to the corresponding acid chloride with oxalyl chloride.

参考文献No.45729
标题:Conformationally restricted aromatic inhibitors of microsomal triglyceride transfer protein and method
作者:Sulsky, R.B.; Poss, M.A.; Slusarchyk, W.A.; Dickson, J.K.; Biller, S.A.; Tino, J.A.; Magnin, D.R.; Lawrence, R.M.; Robl, J.A.
来源:US 5760246
合成路线图解说明:

The lithium dianion of 9-fluorenecarboxylic acid (I) was alkylated with 1,4-dibromobutane (II) to afford bromo acid (III). After conversion of (III) to the corresponding acid chloride by treatment with oxalyl chloride, condensation with 2,2,2-trifluoroethylamine furnished the intermediate bromo amide (IV).

合成路线图解说明:

The requisite nitrodiamine (VIII) was prepared via conversion of 4-methyl-1,2-phenylenediamine (V) to the selenocycle (VI) upon treatment with SeO2 and HCl, followed by nitration to afford regioselectively the nitro derivative (VII). Conversion to the diamine (VIII) was effected by treatment of (VII) with HI. Subsequent reaction of (VIII) with 2,4-pentanedione (IX) in the presence of HCl gave rise to the benzimidazole (X). Alkylation of (X) with bromide (IV) using K2CO3 in DMF provided adduct (XI) as the major regioisomer. Catalytic hydrogenation of the nitro group of (XI) then gave amine (XII). Finally, coupling of amine (XII) with 4'-(trifluoromethyl)biphenyl-2-carboxylic acid (XIII) was achieved via EDC activation or by previous conversion of (XIII) to the corresponding acid chloride with oxalyl chloride.

参考文献No.608381
标题:A novel series of highly potent benzimidazole-based microsomal triglyceride transfer protein inhibitors
作者:Robl, J.A.; Sulsky, R.; Sun, C.-Q.; Simpkins, L.M.; Wang, T.; Dickson, J.K. Jr.; Chen, Y.; Magnin, D.R.; Taunk, P.; Slusarchyk, W.A.; Biller, S.A.; Lan, S.J.; Connolly, F.; Kunselman, L.K.; Sabrah, T.; Jamil, H.; Gordon, D.; Harrity, T.W.; Wetterau, J.R.
来源:J Med Chem 2001,44(6),851
合成路线图解说明:

The lithium dianion of 9-fluorenecarboxylic acid (I) was alkylated with 1,4-dibromobutane (II) to afford bromo acid (III). After conversion of (III) to the corresponding acid chloride by treatment with oxalyl chloride, condensation with 2,2,2-trifluoroethylamine furnished the intermediate bromo amide (IV).

合成路线图解说明:

The requisite nitrodiamine (VIII) was prepared via conversion of 4-methyl-1,2-phenylenediamine (V) to the selenocycle (VI) upon treatment with SeO2 and HCl, followed by nitration to afford regioselectively the nitro derivative (VII). Conversion to the diamine (VIII) was effected by treatment of (VII) with HI. Subsequent reaction of (VIII) with 2,4-pentanedione (IX) in the presence of HCl gave rise to the benzimidazole (X). Alkylation of (X) with bromide (IV) using K2CO3 in DMF provided adduct (XI) as the major regioisomer. Catalytic hydrogenation of the nitro group of (XI) then gave amine (XII). Finally, coupling of amine (XII) with 4'-(trifluoromethyl)biphenyl-2-carboxylic acid (XIII) was achieved via EDC activation or by previous conversion of (XIII) to the corresponding acid chloride with oxalyl chloride.

Drug Information Express,Drug R&D,Chemical Database,Patent Search.
Copyright © 2006-2026 Drug Future. All rights reserved.Contact Us