【药物名称】NSC-697726, RH1
化学结构式(Chemical Structure):
参考文献No.526545
标题:A new screening system for NAD(P)H: quinone oxidoreductase (NQO1)-directed antitumor quinones: Identification of a new aziridinylbenzoquinone, RH1, as a NQO1-directed antitumor agent
作者:Winski, S.L.; Hargreaves, R.H.J.; Butler, J.; Ross, D.
来源:Clin Cancer Res 1998,4(12),3083
合成路线图解说明:

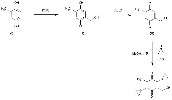
2-(Hydroxymethyl)-5-methyl-1,4-benzoquinone (III) was obtained by hydroxymethylation of toluhydroquinone (I) with formaldehyde, followed by oxidation of the resulting hydroquinone (II) with Ag2O. Then, addition of aziridine (IV) to quinone (III) furnished the title compound.

参考文献No.616085
标题:Synthesis and antitumor and antibacterial activity of benzoquinones related to the mitomycins
作者:Witty, T.R.; Remers, W.A.
来源:J Med Chem 1973,16(11),1280
合成路线图解说明:

2-(Hydroxymethyl)-5-methyl-1,4-benzoquinone (III) was obtained by hydroxymethylation of toluhydroquinone (I) with formaldehyde, followed by oxidation of the resulting hydroquinone (II) with Ag2O. Then, addition of aziridine (IV) to quinone (III) furnished the title compound.

Drug Information Express,Drug R&D,Chemical Database,Patent Search.
Copyright © 2006-2026 Drug Future. All rights reserved.Contact Us