【药物名称】(+)-ROD-188
化学结构式(Chemical Structure):
参考文献No.600479
标题:5-[1'-(2'-N-arylsulfonyl-1',2',3',4'-tetrahydroisoquinoly)]-4,5-dihydro-2(3H)-furanones: Positive allosteric modulators of the GABAA receptor with a new mode of action
作者:Razet, R.; Thomet, U.; Furtmuller, R.; Chiaroni, A.; Sigel, E.; Sieghart, W.; Dodd, R.H.
来源:J Med Chem 2000,43(23),4363
合成路线图解说明:

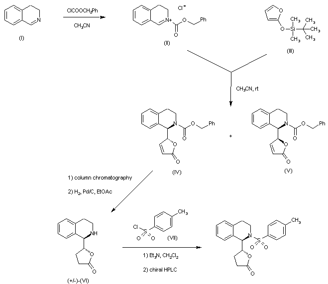
Reaction of 3,4-dihydroisoquinoline (I) with benzyl chloroformate in acetonitrile afforded the isoquinolinium salt (II), which was coupled in situ with 2-(tert-butyldimethylsilyloxy)furan (III) to produce a diastereomeric mixture of threo (IV) and erythro (V) adducts. After chromatographic isolation of the desired threo-isomer (IV), catalytic hydrogenation of the furanone double bond and simultaneous removal of the carbobenzoxy group furnished the tetrahydroisoquinoline (VI). This was converted to the target sulfonamide using p-toluenesulfonyl chloride (VII) and triethylamine. The enantiomers were then separated by means of chiral HPLC.

Drug Information Express,Drug R&D,Chemical Database,Patent Search.
Copyright © 2006-2026 Drug Future. All rights reserved.Contact Us