【药物名称】CJ-13610
化学结构式(Chemical Structure):
参考文献No.29721
标题:5-Lipoxygenase inhibitors
作者:Stevens, R.W.; Mano, T.; Nakao, K.; Okumura, Y. (Pfizer Inc.)
来源:EP 0787127; JP 1999507322; US 5883106; WO 9611911
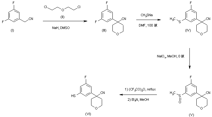
合成路线图解说明:

Alkylation of 3,5-difluorophenylacetonitrile (I) with bis-(2-chloroethyl)ether (II) affords the tetrahydropyran derivative (III). Subsequent displacement of one fluoride group of (III) with sodium methylsulfide in hot DMF yields thioether (IV). Oxidation of (IV) employing NaIO4 leads to sulfoxide (V). Then, Pummerer rearrangement of sulfoxide (V) with trifluoroacetic anhydride, followed by basic hydrolysis, furnishes thiol (VI)

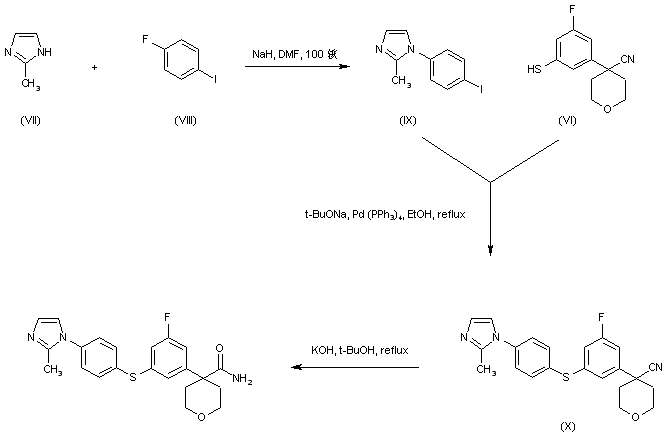
合成路线图解说明:

Arylation of 2-methylimidazole (VII) with1-fluoro-4-iodobenzene (VIII) gives the iodophenyl imidazole (IX). Then, condensation of aryl iodide (IX) with thiophenol (VI) produces the diaryl sulfide (X). Finally, partial hydrolysis of the cyano group of (X) employing KOH in t-butanol yields the target carboxamide

Drug Information Express,Drug R&D,Chemical Database,Patent Search.
Copyright © 2006-2026 Drug Future. All rights reserved.Contact Us