【药物名称】BAY-41-4109
化学结构式(Chemical Structure):
参考文献No.45129
标题:Dihydropyrimidines and their use in the treatment of hepatitis B
作者:Paessens, A.; Stoltefuss, J.; Goldmann, S.; Niew鰄ner, U.; Kr鋗er, T.; Schlemmer, K.-H.; Weber, O.; Graef, E.; Lottmann, S.; St鰈ting, J.; Deres, K. (Bayer AG)
来源:WO 0058302
合成路线图解说明:

Preparation of 2-cyano-3,5-dichloropyridine (IV) has been reported by two alternative procedures: 3,5-Dichloropyridine (I) was converted to the corresponding N-oxide (II) by treatment with peracetic acid. Addition of cyanotrimethylsilane in the presence of dimethylcarbamoyl chloride gave rise to the cyanopyridine (IV). In a different method, displacement of the 2-chloro group of 2,3,5-trichloropyridine (III) with cuprous cyanide in refluxing diglyme led to the target nitrile (IV). Displacement of both chloro groups of pyridine (IV) by KF in hot DMSO furnished the difluoropyridine (V). The cyano group of (V) was then converted to the key amidine (VII) by two related routes. Addition of hydroxylamine to nitrile (V) provided the hydroxyamidine (VI), which was further reduced to amidine (VII) by catalytic hydrogenation. Alternatively, nitrile (V) was directly converted to (VII) by treatment with ammonium chloride and trimethylaluminium.

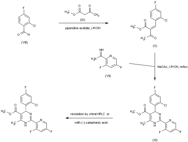
合成路线图解说明:

Knoevenagel condensation of 2-chloro-4-fluorobenzaldehyde (VIII) with methyl acetoacetate (IX) in the presence of piperidine acetate afforded the benzylidene compound (X). Cyclocondensation of (X) with amidine (VII) provided the racemic dihydropyrimidine (XI). Resolution of (XI) was accomplished either by chiral HPLC or via conversion to the diastereoisomeric salts with (-)-camphanic acid.

参考文献No.645615
标题:BAY 41-4109: A novel non-nucleosidic and highly potent inhibitor of human hepatitis B virus. Part 1: Synthesis and structure activity relationship (SAR)
作者:Goldmann, S.; et al.
来源:41st Intersci Conf Antimicrob Agents Chemother (Dec 16 2001, Chicago) 2001,Abst F-1664
合成路线图解说明:

Preparation of 2-cyano-3,5-dichloropyridine (IV) has been reported by two alternative procedures: 3,5-Dichloropyridine (I) was converted to the corresponding N-oxide (II) by treatment with peracetic acid. Addition of cyanotrimethylsilane in the presence of dimethylcarbamoyl chloride gave rise to the cyanopyridine (IV). In a different method, displacement of the 2-chloro group of 2,3,5-trichloropyridine (III) with cuprous cyanide in refluxing diglyme led to the target nitrile (IV). Displacement of both chloro groups of pyridine (IV) by KF in hot DMSO furnished the difluoropyridine (V). The cyano group of (V) was then converted to the key amidine (VII) by two related routes. Addition of hydroxylamine to nitrile (V) provided the hydroxyamidine (VI), which was further reduced to amidine (VII) by catalytic hydrogenation. Alternatively, nitrile (V) was directly converted to (VII) by treatment with ammonium chloride and trimethylaluminium.

合成路线图解说明:

Knoevenagel condensation of 2-chloro-4-fluorobenzaldehyde (VIII) with methyl acetoacetate (IX) in the presence of piperidine acetate afforded the benzylidene compound (X). Cyclocondensation of (X) with amidine (VII) provided the racemic dihydropyrimidine (XI). Resolution of (XI) was accomplished either by chiral HPLC or via conversion to the diastereoisomeric salts with (-)-camphanic acid.

Drug Information Express,Drug R&D,Chemical Database,Patent Search.
Copyright © 2006-2026 Drug Future. All rights reserved.Contact Us