【药物名称】
化学结构式(Chemical Structure):
参考文献No.45091
标题:Fused pyridopyridazine inhibitors of cGMP phosphodiesterase
作者:Kim, S.; Wang, Y.; Yu, G.; Macor, J.; Chung, H.-J.; Humora, M.; Katipally, K. (Bristol-Myers Squibb Co.)
来源:EP 1165521; JP 2002540102; US 6316438; WO 0056719
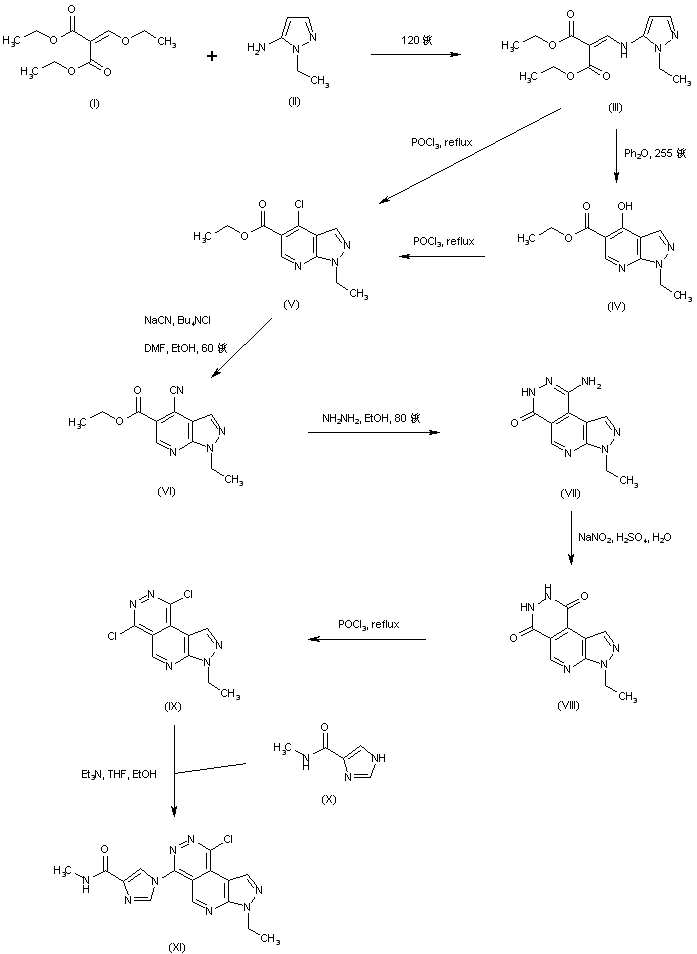
合成路线图解说明:

The condensation between diethyl ethoxymethylenemalonate (I) and 5-amino-1-ethylpyrazole (II) afforded the enamino malonate (III). Cyclization of (III) upon heating at 255 C in diphenyl ether produced the pyrazolopyridine (IV). This was subsequently chlorinated to (V) in refluxing phosphoryl chloride. Alternatively, enamino malonate (III) was directly converted to the chloro pyrazolopyridine (V) by treatment with POCl3. Nitrile (VI) was prepared by displacement of the chloro group of (V) with cyanide in the presence of a phase-transfer catalyst. Cyclization of the cyano ester (VI) with hydrazine led to the pyrazolopyridopyridiazine tricyclic system (VII). Diazotization of amine (VII) generated the dioxo derivative (VIII), which was chlorinated with POCl3 to yield the dichloro derivative (IX). Selective displacement of the 6-chloro group of (IX) with the imidazole carboxamide (X) produced the imidazolyl derivative (XI).

合成路线图解说明:

The intermediate benzylamine derivative (XIII) was prepared by chlorination of 4-methoxybenzylamine (XII) employing either chlorine in HOAc or sulfuryl chloride. The 9-chloro group of (XI) was finally displaced with amine (XII) by heating at 170 C in a pressure tube to furnish the target 6,9-disubstituted tricyclic compound.

Drug Information Express,Drug R&D,Chemical Database,Patent Search.
Copyright © 2006-2026 Drug Future. All rights reserved.Contact Us