【药物名称】RPR-117824
化学结构式(Chemical Structure):
参考文献No.33846
标题:5H,10H-Imidazo[1,2-a]indeno[1,2-e]pyrazine-4-one derivs., preparation thereof, intermediates thereof and drugs containing same
作者:Aloup, J.-C.; Bouquerel, J.; Damour, D.; Hardy, J.-C.; Jimonet, P.; Manfre, M.; Mignani, S.; Nemecek, P. (Aventis Pharma SA)
来源:EP 0880522; FR 2743366; JP 2000505073; US 5990108; WO 9725328
合成路线图解说明:

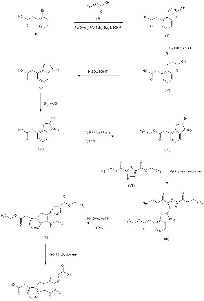
Heck coupling of 2-bromophenylacetic acid (I) with acrylic acid (II) produces the dicarboxylic acid adduct (III). Subsequent catalytic hydrogenation of the olefinic double bond of (III) gives rise to the saturated diacid (IV). Then, Friedel-Crafts intramolecular cyclization of (IV) in hot H2SO4 affords indanone (V). Bromination of (V) in AcOH yields 2-bromo-1-oxoindan-4-ylacetic acid (VI). Esterification of (VI) is carried out via conversion to the corresponding acid chloride, followed by quenching with EtOH to provide the ethyl ester (VII). Condensation of bromo indanone (VII) with diethyl imidazole-2,4-dicarboxylate (VIII) furnishes the imidazolyl indanone (IX). Ring closure of keto ester (IX) with ammonium acetate in refluxing AcOH produces the tetracyclic compound (X). The ethyl ester groups of (X) are finally hydrolyzed under basic conditions to yield the title dicarboxylic acid.

参考文献No.668519
标题:9-Carboxymethyl-5H,10H-imidazo[1,2-a]indeno[1,2-e]pyrazin-4-one-2-carbocylic acid (RPR117824): Selective anticonvulsive and neuroprotective AMPA antagonist
作者:Mignani, S.; Bohme, G.A.; Birraux, G.; Boireau, A.; Jimonet, P.; Damour, D.; Genevois-Borella, A.; Debono, M.W.; Pratt, J.; Vuilhorgne, M.; Wahl, F.; Stutzmann, J.M.
来源:Bioorg Med Chem 2002,10(5),1627
合成路线图解说明:

Heck coupling of 2-bromophenylacetic acid (I) with acrylic acid (II) produces the dicarboxylic acid adduct (III). Subsequent catalytic hydrogenation of the olefinic double bond of (III) gives rise to the saturated diacid (IV). Then, Friedel-Crafts intramolecular cyclization of (IV) in hot H2SO4 affords indanone (V). Bromination of (V) in AcOH yields 2-bromo-1-oxoindan-4-ylacetic acid (VI). Esterification of (VI) is carried out via conversion to the corresponding acid chloride, followed by quenching with EtOH to provide the ethyl ester (VII). Condensation of bromo indanone (VII) with diethyl imidazole-2,4-dicarboxylate (VIII) furnishes the imidazolyl indanone (IX). Ring closure of keto ester (IX) with ammonium acetate in refluxing AcOH produces the tetracyclic compound (X). The ethyl ester groups of (X) are finally hydrolyzed under basic conditions to yield the title dicarboxylic acid.

Drug Information Express,Drug R&D,Chemical Database,Patent Search.
Copyright © 2006-2026 Drug Future. All rights reserved.Contact Us