【药物名称】ORG-25435
化学结构式(Chemical Structure):
参考文献No.42043
标题:alpha-Amino acid phenyl ester derivs.
作者:Hamilton, N.M. (Akzo Nobel N.V.)
来源:EP 1098871; WO 0005196
合成路线图解说明:

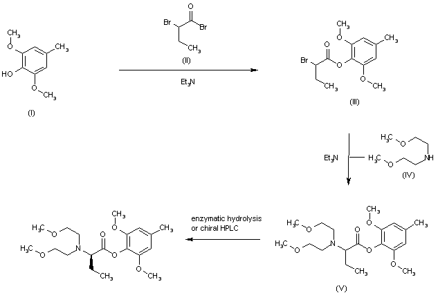
Treatment of 2,6-dimethoxy-4-methylphenol (I) with 2-bromobutyryl bromide (II) and Et3N in dichloromethane provides 2,6-dimethoxy-4-methylphenyl ester (III), which is converted into the target product by reaction with bis(2-methoxyethyl)amine (IV) and Et3N in refluxing toluene. The target (R)-enantiomer is isolated by resolution of the racemic amino ester by either enantiospecific enzyme hydrolysis of the corresponding (S)-isomer or by means of chiral HPLC.

参考文献No.637027
标题:alpha-Amino acid phenolic ester derivatives: Novel water-soluble general anesthetic agents which allosterically modulate GABAA receptors
作者:Anderson, A.; Belelli, D.; Bennett, D.J.; Buchanan, K.I.; Casula, A.; Cooke, A.; Feilden, H.; Gemmell, D.K.; Hamilton, N.M.; Hutchinson, E.J.; Lambert, J.J.; Maidment, M.S.; McGuire, R.; McPhail, P.; Miller, S.A.; Muntoni, A.; Peters, J.A.M.; et al.
来源:J Med Chem 2001,44(22),3582
合成路线图解说明:

Treatment of 2,6-dimethoxy-4-methylphenol (I) with 2-bromobutyryl bromide (II) and Et3N in dichloromethane provides 2,6-dimethoxy-4-methylphenyl ester (III), which is converted into the target product by reaction with bis(2-methoxyethyl)amine (IV) and Et3N in refluxing toluene. The target (R)-enantiomer is isolated by resolution of the racemic amino ester by either enantiospecific enzyme hydrolysis of the corresponding (S)-isomer or by means of chiral HPLC.

Drug Information Express,Drug R&D,Chemical Database,Patent Search.
Copyright © 2006-2026 Drug Future. All rights reserved.Contact Us