【药物名称】MN-221, KUR-1246
化学结构式(Chemical Structure):
参考文献No.34063
标题:3,4-Disubstd. phenylethanolaminotetralincarboxamide derivs.
作者:Kitazawa, M.; Okazaki, K.; Tamai, T.; Saito, M.; Muranaka, H.; Tanaka, N.; Kobayahi, H.; Kikuchi, K. (Kissei Pharmaceutical Co., Ltd.)
来源:EP 0882704; US 6133266; WO 9730023
合成路线图解说明:

The benzyl-protected 2-(2-hydroxyethyl)phenol (I) was brominated in HOAc to give (II). Lithiation of aryl bromide (II) followed by in situ condensation of the resulting organolithium derivative (III) with diethyl oxalate under -95 C furnished the keto ester (IV). Subsequent ketone reduction by NaBH4 afforded hydroxy ester (V), which was further hydrolyzed to the mandelic acid derivative (VI). The condensation of racemic acid (VI) with (S)-2-amino-7-hydroxytetraline (VII) gave rise to a diastereomeric mixture of hydroxy amides from which the desired (S,R)-diastereoisomer (VIII) was isolated by column chromatography. Reduction of the amide function of (VIII) using borane-dimethyl sulfide complex yielded the amino alcohol (IX). Alkylation of the phenolic hydroxyl group of (IX) with 2-bromo-N,N-dimethylacetamide (X) provided the corresponding (aryloxy)acetamide (XI). Then, hydrogenolysis of the benzyl protecting groups over Pd/C furnished the target compound, which was finally isolated as the corresponding sulfate salt.

参考文献No.628940
标题:The practical synthesis of a uterine relaxant, bis (2-{[2S)-2-({(2R)-2-hydroxy-2-[4-hydroxy-3-(2-hydroxyethyl)-phenyl]ethyl}amino)-1,2,3,4-tetrahydronaphthalen-7-yl]oxy}-N,N-dimethylacetamide)sulfate (KUR-1246)
作者:Yanagi, T.; Kikuchi, K.; Takeuchi, H.; Ishikawa, T.; Nishimura, T.; Yamamoto, I.
来源:Chem Pharm Bull 2001,49(8),1018
合成路线图解说明:

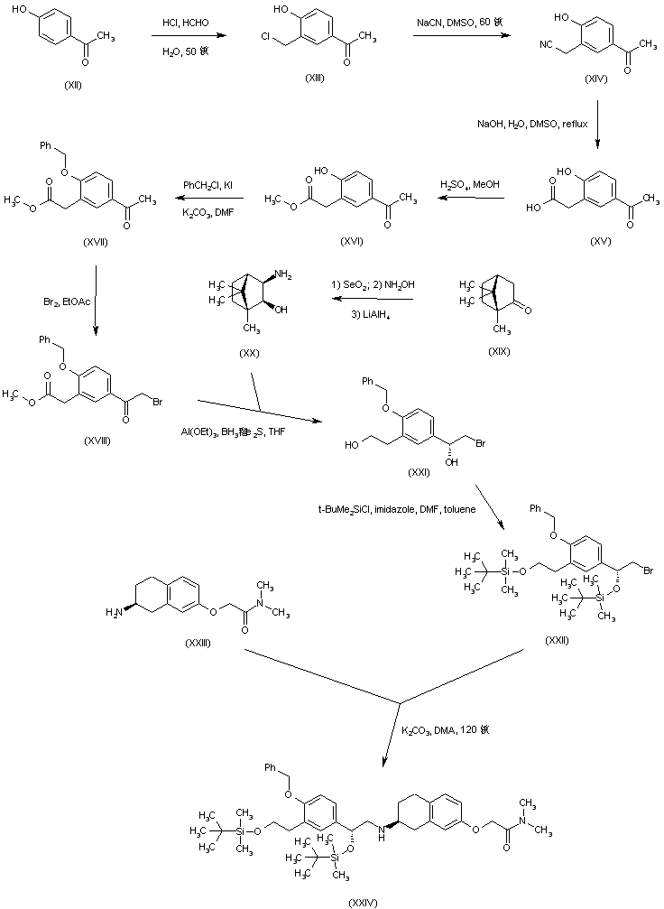
An alternative method, suitable for large-scale synthesis, has been described: The chloromethylation of 4'-hydroxyacetophenone (XII) using formaldehyde and HCl gave (XIII). Displacement of the chloride group with NaCN provided nitrile (XIV), which was further hydrolyzed to the carboxylic acid (XV). Esterification of (XV) with methanol and sulfuric acid yields (XVI), whose phenolic hydroxyl group was protected as the benzyl ether (XVII) by alkylation with benzyl chloride. Subsequent bromination of ketone (XVII) yielded the phenacyl bromide (XVIII). The chiral amino alcohol (XX) was prepared from (-)-camphor (XIX) by ketone oxidation in position alpha with SeO2, followed by condensation with hydroxylamine and reduction with LiAlH4. Asymmetric reduction of the bromo ketone (XVIII) with borane in the presence of aluminum triethoxide and the chiral auxiliary (XX) provided the desired (R)-bromohydrin (XXI). The hydroxyl groups of (XXI) were then protected by silylation with tert-butyldimethylsilyl chloride, yielding (XXII). Condensation of the silyl-protected bromide (XXII) with (S)-2[(2-amino-1,2,3,4-tetrahydronaphthalen-7-yl)oxy]-N,N-dimethylacetamide (XXIII) furnished adduct (XXIV).

合成路线图解说明:

The silyl protecting groups of (XXIV) were cleaved by acidic treatment yielding diol (XXV). Then, O-benzyl group hydrogenolysis in (XXV) using Pd/C, followed by salification with H2SO4, provided the title compound.

合成路线图解说明:

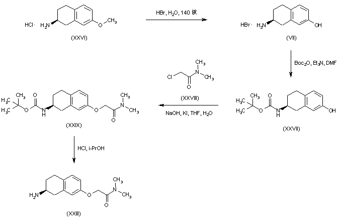
The optically pure (S)-amine (XXIII) was prepared as follows: Demethylation of the previously described (S)-7-methoxy-1,2,3,4-tetrahydronaphth-2-ylamine (XXVI) in concentrated HBr under reflux gave the amino naphthol (VII). After protection of the amino group of (VII) as the N-Boc derivative (XXVII), the phenolic hydroxyl was alkylated with 2-chloro-N,N-dimethylacetamide (XXVIII) to give (XXIX). Then, Boc group cleavage in (XXIX) by means of HCl in isopropanol furnished the intermediate amine (XXIII).

Drug Information Express,Drug R&D,Chemical Database,Patent Search.
Copyright © 2006-2026 Drug Future. All rights reserved.Contact Us