【药物名称】TQX-173
化学结构式(Chemical Structure):
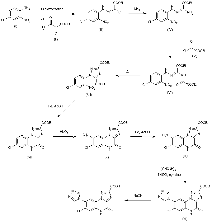
参考文献No.596275
标题:7-Chloro-4,5-dihydro-8-(1,2,4-triazol-4-yl)-4-oxo-1,2,4-triazolo[1,5-a]quinoxaline-2-carboxylates as novel highly selective AMPA receptor antagonists
作者:Catarzi, D.; Colotta, V.; Varano, F.; Cecchi, L.; Filacchioni, G.; Galli, A.; Costagli, C.; Carl? V.
来源:J Med Chem 2000,43(21),3824
合成路线图解说明:

Diazotization of substituted aniline (I) followed by reaction with ethyl 2-chloro-3-oxobutanoate (II) in MeOH yields hydrazono chloroacetate derivative (III), which is converted into oxamidrazonate (IV) by means of NH3 (gas). Treatment of derivative (IV) with ethyloxalyl chloride (V) affords ethoxalyl derivative (VI), which is then heated until cyclization occurs, providing derivative (VII). Reduction of triazole dicarboxylate (VII) with iron in HOAc gives tricyclic compound (VIII), which is nitrated by means of HNO3 to afford nitro derivative (IX). Reduction of the nitro group of (IX) by means of iron in HOAc provides the corresponding 8-amino derivative (X), which is treated with diformylhydrazine and trimethylsilyl chloride (TMSCl) in pyridine to furnish ethyl carboxylate (XI). Finally, saponification of (XI) with NaOH in EtOH gives the desired compound.

参考文献No.622539
标题:4,5-Dihydro-1,2,4-triazolo[1,5-a]quinoxalin-4-ones: Excitatory amino acid antagonists with combined glycine/NMDA and AMPA receptor affinity
作者:Catarzi, D.; Colotta, V.; Varano, F.; Cecchi, L.; Filacchioni, G.; Galli, A.; Costagl, C.
来源:J Med Chem 1999,42(13),2478
合成路线图解说明:

Diazotization of substituted aniline (I) followed by reaction with ethyl 2-chloro-3-oxobutanoate (II) in MeOH yields hydrazono chloroacetate derivative (III), which is converted into oxamidrazonate (IV) by means of NH3 (gas). Treatment of derivative (IV) with ethyloxalyl chloride (V) affords ethoxalyl derivative (VI), which is then heated until cyclization occurs, providing derivative (VII). Reduction of triazole dicarboxylate (VII) with iron in HOAc gives tricyclic compound (VIII), which is nitrated by means of HNO3 to afford nitro derivative (IX). Reduction of the nitro group of (IX) by means of iron in HOAc provides the corresponding 8-amino derivative (X), which is treated with diformylhydrazine and trimethylsilyl chloride (TMSCl) in pyridine to furnish ethyl carboxylate (XI). Finally, saponification of (XI) with NaOH in EtOH gives the desired compound.

Drug Information Express,Drug R&D,Chemical Database,Patent Search.
Copyright © 2006-2026 Drug Future. All rights reserved.Contact Us