【药物名称】[Dmt1]DALDA, SUPER-DALDA
化学结构式(Chemical Structure):
参考文献No.45018
标题:DALDA analogs and their use
作者:Schiller, P. (AstraZeneca AB)
来源:WO 0055189
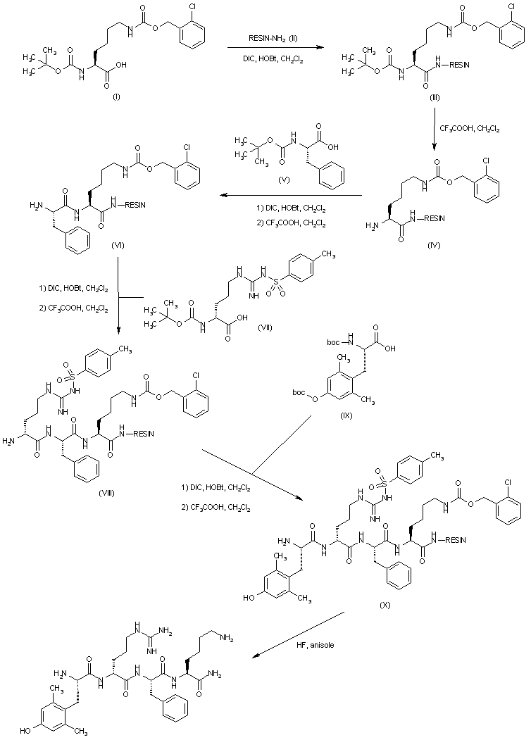
合成路线图解说明:

The title peptide was prepared by solid-phase synthesis using a p-methylbenzhydrylamine resin (II). Coupling of Boc-lysine(2-ClZ) (I) to the resin (II) using diisopropylcarbodiimide (DIC) and 1-hydroxybenzotriazole (HOBt) afforded the amide resin (III). The N-Boc group was then selectively deprotected with trifluoroacetic acid in CH2Cl2, yielding resin (IV). To this were sequentially attached the protected amino acids: Boc-phenylalanine (V), Boc-D-arginine(Ts) (VII) and Boc-2',6'-dimethyltyrosine(Boc) (IX) employing DIC/HOBt and then Boc deprotection with trifluoroacetic acid to provide the peptide resins (VI), (VIII) and (X), respectively. Finally, the desired peptide amide was deprotected and cleaved from the resin (X) by treatment with HF and anisole.

参考文献No.599277
标题:Synthesis and in vitro opioid activity profiles of DALDA analogues
作者:Schiller, P.W.; Nguyen, T.M.-D.; Berezowska, I.; Dupuis, S.; Weltrowska, G.; Chung, N.N.; Lemieux, C.
来源:Eur J Med Chem 2000,35(10),895
合成路线图解说明:

The title peptide was prepared by solid-phase synthesis using a p-methylbenzhydrylamine resin (II). Coupling of Boc-lysine(2-ClZ) (I) to the resin (II) using diisopropylcarbodiimide (DIC) and 1-hydroxybenzotriazole (HOBt) afforded the amide resin (III). The N-Boc group was then selectively deprotected with trifluoroacetic acid in CH2Cl2, yielding resin (IV). To this were sequentially attached the protected amino acids: Boc-phenylalanine (V), Boc-D-arginine(Ts) (VII) and Boc-2',6'-dimethyltyrosine(Boc) (IX) employing DIC/HOBt and then Boc deprotection with trifluoroacetic acid to provide the peptide resins (VI), (VIII) and (X), respectively. Finally, the desired peptide amide was deprotected and cleaved from the resin (X) by treatment with HF and anisole.

Drug Information Express,Drug R&D,Chemical Database,Patent Search.
Copyright © 2006-2026 Drug Future. All rights reserved.Contact Us