【药物名称】ONO-8815
化学结构式(Chemical Structure):
参考文献No.37263
标题:Omega-cycloalkyl-prostaglandin E2 derivs.
作者:Ohuchida, S.; Tani, K. (Ono Pharmaceutical Co., Ltd.)
来源:EP 0860430; JP 1999193268; JP 2000128858; US 6110969
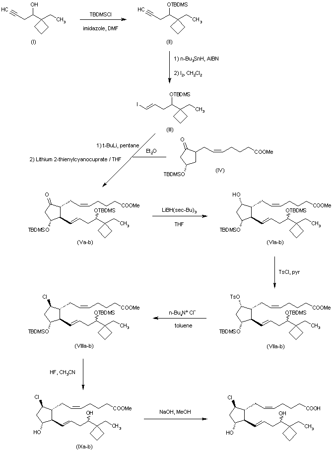
合成路线图解说明:

Protection of (I) with TBDMSCl in DMF in presence of imidazole affords (II) which is then converted into iodo derivative (III) by first treatment with AIBN in presence of n-Bu3SnH followed by iodination with I2 in CH2Cl2. The reaction of (III) with derivative (IV) in presence of t-BuLi in pentane and lithium 2-thienylcyanocuprate in THF yields methyl ester (Va-b) which is then reduced with L-Selectride in THF to afford (VIa-b). Treatment of (VIa-b) with TsCl provides tosylated derivative (VIIa-b) which suffers a nucleofilic attack by tetrabutylammonium chloride yielding (VIIIa-b). Finally TBDMS groups of (VIIIa-b) are removed by treatment with hydrofluoric acid in CH3CN and the methyl ester group hydrolised by means of NaOH in MeOH.

Drug Information Express,Drug R&D,Chemical Database,Patent Search.
Copyright © 2006-2026 Drug Future. All rights reserved.Contact Us