【药物名称】LY-344545
化学结构式(Chemical Structure):
参考文献No.29747
标题:Excitatory amino acid receptor antagonists
作者:Arnold, M.B.; Bleisch, T.J.; Helton, D.R.; Kallman, M.J.; Ornstein, P.L.; Schoepp, D.D.; Tizzano, J.P. (Eli Lilly and Company)
来源:EP 0771196; JP 1998505597; US 5717109; WO 9607405
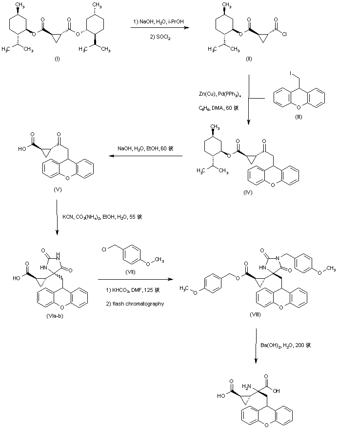
合成路线图解说明:

Partial hydrolysis of dimenthyl (R,R)-cyclopropane-1,2-dicarboxylate (I), followed by treatment of the resultant mono-carboxylic acid with SOCl2, afforded acid chloride (II). The coupling of the organozincate reagent prepared from (9-xanthyl)methyl iodide (III) and Zn-Cu with acid chloride (II) in the presence of palladium catalyst gave rise to ketone (IV). Basic hydrolysis of the remaining menthyl ester function of (IV) afforded keto acid (V). Reaction of (V) with potassium cyanide and ammonium carbonate produced hydantoin (VI) as a diastereomeric mixture. Chromatographic separation of the diastereoisomers was achieved after hydantoin N-alkylation and simultaneous esterification of (VI) with p-methoxybenzyl chloride (VII) and KHCO3 in hot DMF. Hydantoin hydrolysis from the desired (S,R,R)-isomer (VIII) upon heating with aqueous Ba(OH)2 at 200 C in a pressure vessel furnished the title amino acid compound.

参考文献No.458753
标题:2-Substituted (2SR)-2-amino-2-(1SR, 2SR)-2-carboxycycloprop-1-yl)glycines as potent and selective antagonists of group II metabotropic glutamate receptors. 2. Effects of aromatic substitution, pharmacological characterization, and bioavailability
作者:Ornstein, P.L.; Bleisch, T.J.; Brian Arnold, M.; Kennedy, J.H.; Wright, R.A.; Johnson, B.G.; Tizzano, J.P.; Helton, D.R.; Kallman, M.J.; Schoepp, D.D.; Herin, M.
来源:J Med Chem 1998,41(3),358
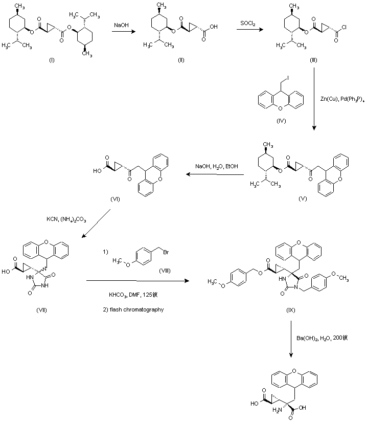
合成路线图解说明:

Partial hydrolysis of chiral cyclopropanedicarboxylate (I) with 1 equivalent of NaOH in aqueous isopropanol provided monoester (II), which was converted to acid chloride (III) by treatment with SOCl2. Palladium-mediated coupling of (III) with the organozincate from 9-xanthenylmethyl iodide (IV) and Zn-Cu couple afforded (S,S)-ketone (V). Basic hydrolysis of (V) then provided ketoacid (VI), which was transformed into a mixture of diastereomeric hydantoins (VII) under Bucherer-Berg conditions using an excess of KCN and (NH4)2CO3 in water at 55 C. Subsequent reaction of (VII) with 4-methoxybenzyl bromide (VIII) and KHCO3 in DMF produced both N- and O-alkylation to provide a diastereomeric mixture, which was separated by column chromatography. Hydrolysis of isomer (IX) with aqueous Ba(OH)2 in a pressure reactor at 200 C gave the target (S,S,S)-amino acid, which was purified by cation-exchange chromatography.

合成路线图解说明:

Partial hydrolysis of dimenthyl (R,R)-cyclopropane-1,2-dicarboxylate (I), followed by treatment of the resultant mono-carboxylic acid with SOCl2, afforded acid chloride (II). The coupling of the organozincate reagent prepared from (9-xanthyl)methyl iodide (III) and Zn-Cu with acid chloride (II) in the presence of palladium catalyst gave rise to ketone (IV). Basic hydrolysis of the remaining menthyl ester function of (IV) afforded keto acid (V). Reaction of (V) with potassium cyanide and ammonium carbonate produced hydantoin (VI) as a diastereomeric mixture. Chromatographic separation of the diastereoisomers was achieved after hydantoin N-alkylation and simultaneous esterification of (VI) with p-methoxybenzyl chloride (VII) and KHCO3 in hot DMF. Hydantoin hydrolysis from the desired (S,R,R)-isomer (VIII) upon heating with aqueous Ba(OH)2 at 200 C in a pressure vessel furnished the title amino acid compound.

Drug Information Express,Drug R&D,Chemical Database,Patent Search.
Copyright © 2006-2026 Drug Future. All rights reserved.Contact Us