【药物名称】CRA-0316
化学结构式(Chemical Structure):
参考文献No.44938
标题:Carbamoyl tetrahydropyridine derivs.
作者:Tomisawa, K.; Kumagai, T.; Nakazato, A.; Okubo, T. (Taisho Pharmaceutical Co., Ltd.)
来源:EP 1176146
合成路线图解说明:

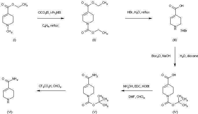
The preparation of the intermediate 1,2,3,6-tetrahydropyridine-4-carboxamide (VI) is illustrated in Scheme 1. Demethylation of tetrahydropyridine (I) with ethyl chloroformate in refluxing benzene affords carbamate (II), which is further hydrolyzed to the aminoacid (III) upon heating with concentrated HBr. Subsequent protection of (III) by means of di-t-butyl dicarbonate leads to N-Boc tetrahydropyridine-4-carboxylic acid (IV). Coupling of acid (IV) with ammonia in the presence of EDC/HOBt provides amide (V). The N-Boc protecting group of (V) is then removed with trifluoroacetic acid in CHCl3, yielding tetrahydropyridine (VI)

合成路线图解说明:

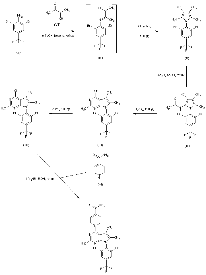
Condensation of 2,6-dibromo-4-(trifluoromethyl)aniline (VII) with acetoin (VIII), followed by heating the intermediate imine (IX) with malononitrile at 180 C gives rise to the N-aryl pyrrole (X). Acylation of aminopyrrole (X) with Ac2O provides acetamide (XI), which undergoes ring closure to the pyrrolopyrimidine (XII) in hot phosphoric acid. Chlorination of (XII) employing POCl3 furnishes aryl chloride (XIII). This is finally condensed with tetrahydropyridine (VI) to produce the title compound

参考文献No.686259
标题:Synthesis, SARs and biological activities of CRH1 receptor: Novel 3- or 4-carbamoyl-1,2,5,6-tetrahydropyridinopyrrolopyrimidine derivative
作者:Oshida, Y.; Kumagai, T.; Okubo, T.; Chaki, S.; Okuyama, S.; Nakazato, A.
来源:224th ACS Natl Meet (Aug 18 2002, Boston) 2002,Abst MEDI 259
合成路线图解说明:

Condensation of 2,6-dibromo-4-(trifluoromethyl)aniline (VII) with acetoin (VIII), followed by heating the intermediate imine (IX) with malononitrile at 180 C gives rise to the N-aryl pyrrole (X). Acylation of aminopyrrole (X) with Ac2O provides acetamide (XI), which undergoes ring closure to the pyrrolopyrimidine (XII) in hot phosphoric acid. Chlorination of (XII) employing POCl3 furnishes aryl chloride (XIII). This is finally condensed with tetrahydropyridine (VI) to produce the title compound

参考文献No.686822
标题:4- or 5-Carbamoyl-1,2,3,6-tetrahydropyridinopyrrolopyrimidine derivative as a CRH1 receptor antagonist
作者:Okubo, T.; et al.
来源:Drugs Fut 2002,27(Suppl. A),
合成路线图解说明:

Condensation of 2,6-dibromo-4-(trifluoromethyl)aniline (VII) with acetoin (VIII), followed by heating the intermediate imine (IX) with malononitrile at 180 C gives rise to the N-aryl pyrrole (X). Acylation of aminopyrrole (X) with Ac2O provides acetamide (XI), which undergoes ring closure to the pyrrolopyrimidine (XII) in hot phosphoric acid. Chlorination of (XII) employing POCl3 furnishes aryl chloride (XIII). This is finally condensed with tetrahydropyridine (VI) to produce the title compound

Drug Information Express,Drug R&D,Chemical Database,Patent Search.
Copyright © 2006-2026 Drug Future. All rights reserved.Contact Us