【药物名称】
化学结构式(Chemical Structure):
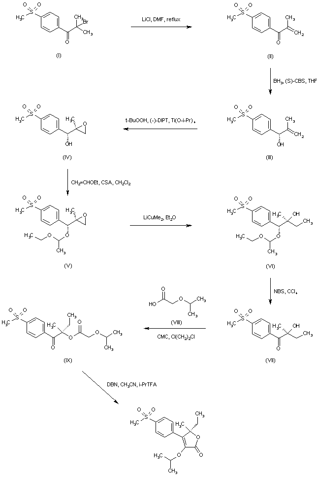
参考文献No.709707
标题:Discovery of a potent and selective COX-2 inhibitor in the alkoxy lactone series with optimized metabolic profile
作者:Leblanc, Y.; Roy, P.; Wang, Z.; Li, C.S.; Chauret, N.; Nicoll-Griffith, D.A.; Silva, J.M.; Aubin, Y.; Yergey, J.A.; Chan, C.C.; Riendeau, D.; Brideau, C.; Gordon, R.; Xu, L.; Webb, J.; Visco, D.M.; Prasit, P.
来源:Bioorg Med Chem Lett 2002,12(22),3317
合成路线图解说明:

Dehydrohalogenation of bromo ketone (I) using LiCl in hot DMF affords the vinyl ketone (II). Subsequent enantioselective reduction of enone (II) with borane in the presence of (S)-CBS leads to the (S)-allylic alcohol (III). Epoxidation of (III) using Sharpless conditions gives the epoxy alcohol (IV). After protection of alcohol (IV) as its 1-ethoxyethyl ether (V), epoxide ring opening with lithium dimethylcuprate provides (VI). Treatment of (VI) with NBS yields hydroxy ketone (VII). Esterification of (VII) with isopropoxyacetic acid (VIII) gives (IX). Then, intramolecular cyclization of keto ester (IX) in the presence of BDU and isopropyl trifluoroacetate gives rise to the target lactone.

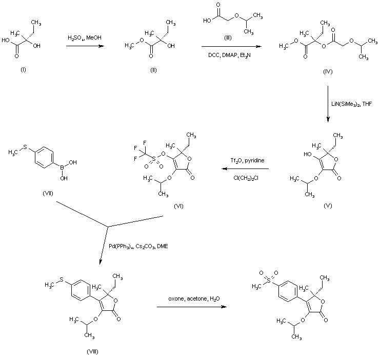
参考文献No.711445
标题:Practical enantioselective synthesis of a COX-2 specific inhibitor
作者:Tan, L.; Chen, C.; Chen, W.; et al.
来源:Tetrahedron 2002,58(37),7403
合成路线图解说明:

In a different procedure, the optically pure hydroxy acid (I) is esterified with MeOH and H2SO4, and the resultant hydroxy ester (II) is then acylated by isopropoxyacetic acid (III) to form diester (IV). Ring closure of (IV) in the presence of lithium bis(trimethylsilyl)amide produces lactone (V). Activation of (V) as the vinyl triflate (VI), followed by Mitsunobu coupling with 4-(methylthio)phenylboronic acid (VII) furnishes the aryl butenolide (VIII). The sulfide group is finally oxidized to the target sulfone employing oxone in aqueous acetone.

Drug Information Express,Drug R&D,Chemical Database,Patent Search.
Copyright © 2006-2026 Drug Future. All rights reserved.Contact Us