【药物名称】Pumafentrine, BY-343
化学结构式(Chemical Structure):
参考文献No.36637
标题:Benzonaphthyridines as bronchial therapeutics
作者:Gutterer, B.; Amschler, H.; Ulrich, W.-R.; Martin, T.; B鋜, T.; Hatzelmann, A.; Sanders, K.; Beume, R.; Boss, H.; H鋐ner, D.; Kley, H.-P.; Goebel, K.-J. (Altana Pharma Deutschland GmbH )
来源:EP 0937074; JP 2001503442; US 6008215; WO 9821208
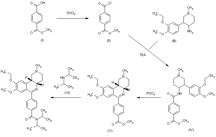
合成路线图解说明:

The reaction of terephthalic acid monomethyl ester (I) with SOCl2 in dichloromethane gives the acyl chloride (II), which is condensed with 3-(3-ethoxy-4-methoxyphenyl)-1-methylpiperidin-4-amine (III) by means of TEA in dichloromethane, yielding the corresponding amide (IV). The cyclization of (IV) by means of POCl3 in refluxing acetonitrile affords the benzo-naphthyridine (V), which is treated with diisopropylamine in methanol to provide the target diisopropyl carboxamide.

Drug Information Express,Drug R&D,Chemical Database,Patent Search.
Copyright © 2006-2026 Drug Future. All rights reserved.Contact Us