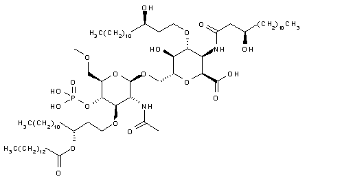
【药物名称】
化学结构式(Chemical Structure):
参考文献No.44641
标题:Ether type lipid A1-carboxylic acid analogues
作者:Shiozaki, M.; Kurakata, S.; Kanai, S.; Kazama, Y. (Sankyo Co., Ltd.)
来源:EP 1152007; JP 2000297096; US 2002161221; US 6511965; WO 0047595
合成路线图解说明:

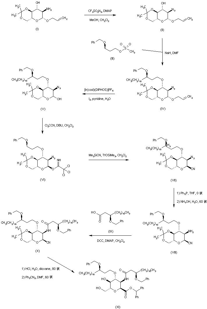
The functionalized glucosamine building block (XI) is prepared as follows. Allyl 2-amino-2-deoxy-4,6-O-isopropylidene-beta-D-glucopyranoside (I) is converted into azide (II) upon treatment with trifluoromethanesulfonyl azide and DMAP. Alkylation of the free hydroxyl group of (II) with mesylate (III) in the presence of NaH gives ether (IV). The O-allyl group of (IV) is then removed by iridium-catalyzed double bond isomerization, followed by oxidative hydrolysis with iodine and pyridine, to afford (V). Condensation of (V) with trichloroacetonitrile produces imidate (VI), which is further displaced with trimethylsilyl cyanide, yielding nitrile (VII). Reduction of the azido group of (VII) by means of triphenylphosphine affords amine (VIII). This is acylated by (R)-3-(benzyloxy)tetradecanoic acid (IX) in the presence of DCC and DMAP, yielding amide (X). Acidic hydrolysis of the cyano group, followed by reaction of the resultant carboxylic acid with diphenyldiazomethane, leads to the benzhydryl ester (XI).

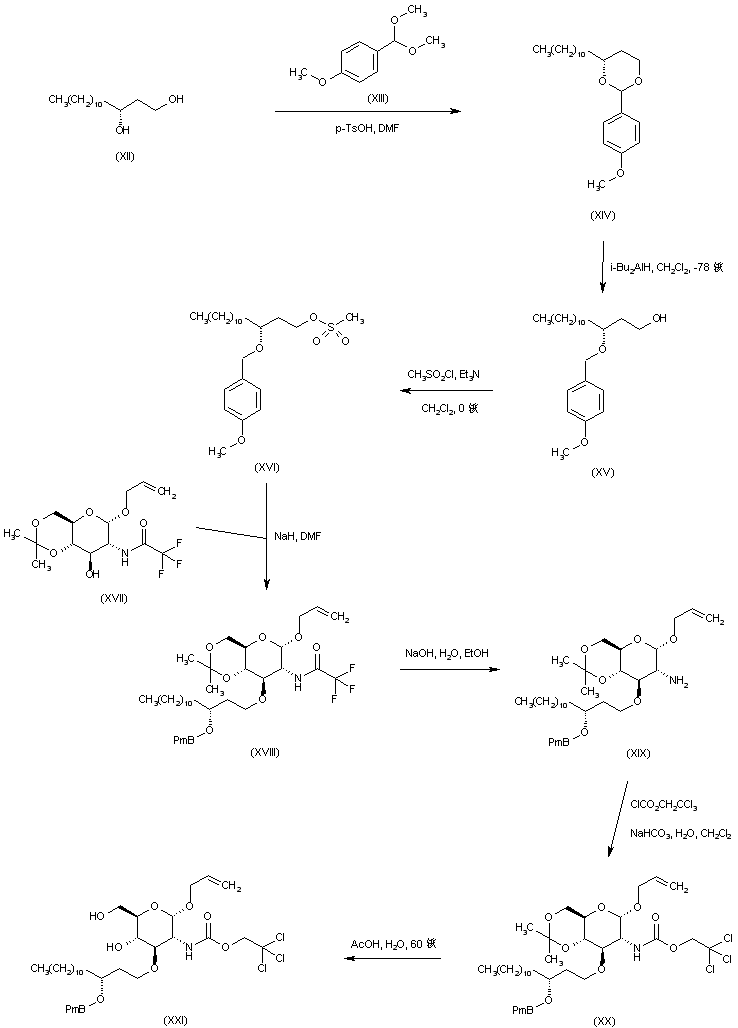
合成路线图解说明:

The chiral diol (XII) is converted to the dioxane derivative (XIV) by treatment with anisaldehyde dimethyl acetal (XIII) in the presence of p-toluenesulfonic acid. Reductive cleavage of dioxane (XIV) by means of DIBAL produces regioselectively the mono-p-methoxybenzyl ether (XV). The primary alcohol group of (XV) is then converted to the corresponding mesylate (XVI) employing methanesulfonyl chloride and triethylamine. Alkylation of the protected glucosamine (XVII) with mesylate (XVI) in the presence of NaH yields ether (XVIII). After basic hydrolysis of the trifluoroacetamide (XVIII), the resultant amine (XIX) is reprotected as the trichloroethyl carbamate (XX) by using trichloroethyl chloroformate and NaHCO3. Subsequent hydrolysis of the acetonide group of (XX) provides diol (XXI).

合成路线图解说明:

The primary hydroxyl of (XXI) is protected as the silyl ether (XXII) by means of t-butyldimethylsilyl chloride and DMAP. Subsequent phosphorylation of the remaining secondary hydroxyl group with diphenylphosphoryl chloride gives phosphate ester (XXIII). Removal of the p-methoxybenzyl protecting group of (XXIII) is accomplished by oxidative cleavage with DDQ, yielding alcohol (XXIV), which is acylated by myristoyl chloride, to produce ester (XXV). Desilylation of (XXV) under acidic conditions affords alcohol (XXVI), which is converted to methyl ether (XXVII) using trimethyloxonium fluoborate as the alkylating reagent. Iridium-catalyzed deallylation of the allyl glucoside (XXVII) furnishes the cyclic glucosamine (XXVIII).

合成路线图解说明:

The glucosamine derivative (XXVIII) is activated as the imidate (XXIX), upon treatment with trichloroacetonitrile and DBU, and subsequently coupled with (XI) in the presence of trimethylsilyl triflate, to afford disaccharide (XXX). The trichloroethoxycarbonyl protecting group of (XXX) is then removed by reductive treatment with zinc and acetic acid, producing amine (XXXI), which is subsequently acetylated with Ac2O, to afford acetamide (XXXII).

合成路线图解说明:

Catalytic hydrogenolysis of the benzyl and benzhydryl groups of (XXXII) in the presence of Pearlman's catalyst provides (XXXIII). The phenyl phosphate ester groups of (XXXIII) are finally removed by hydrogenation over PtO2 to furnish the title compound.

参考文献No.629648
标题:Synthesis of lipid A type pyran carboxylic acids with ether chains and their biological activities
作者:Watanabe, Y.; Mochizuki, T.; Shiozaki, M.; Kanai, S.; Kurakata, S.-I.; Nishijima, M.
来源:Carbohydr Res 2001,333(3),203
合成路线图解说明:

The chiral diol (XII) is converted to the dioxane derivative (XIV) by treatment with anisaldehyde dimethyl acetal (XIII) in the presence of p-toluenesulfonic acid. Reductive cleavage of dioxane (XIV) by means of DIBAL produces regioselectively the mono-p-methoxybenzyl ether (XV). The primary alcohol group of (XV) is then converted to the corresponding mesylate (XVI) employing methanesulfonyl chloride and triethylamine. Alkylation of the protected glucosamine (XVII) with mesylate (XVI) in the presence of NaH yields ether (XVIII). After basic hydrolysis of the trifluoroacetamide (XVIII), the resultant amine (XIX) is reprotected as the trichloroethyl carbamate (XX) by using trichloroethyl chloroformate and NaHCO3. Subsequent hydrolysis of the acetonide group of (XX) provides diol (XXI).

合成路线图解说明:

The primary hydroxyl of (XXI) is protected as the silyl ether (XXII) by means of t-butyldimethylsilyl chloride and DMAP. Subsequent phosphorylation of the remaining secondary hydroxyl group with diphenylphosphoryl chloride gives phosphate ester (XXIII). Removal of the p-methoxybenzyl protecting group of (XXIII) is accomplished by oxidative cleavage with DDQ, yielding alcohol (XXIV), which is acylated by myristoyl chloride, to produce ester (XXV). Desilylation of (XXV) under acidic conditions affords alcohol (XXVI), which is converted to methyl ether (XXVII) using trimethyloxonium fluoborate as the alkylating reagent. Iridium-catalyzed deallylation of the allyl glucoside (XXVII) furnishes the cyclic glucosamine (XXVIII).

合成路线图解说明:

The glucosamine derivative (XXVIII) is activated as the imidate (XXIX), upon treatment with trichloroacetonitrile and DBU, and subsequently coupled with (XI) in the presence of trimethylsilyl triflate, to afford disaccharide (XXX). The trichloroethoxycarbonyl protecting group of (XXX) is then removed by reductive treatment with zinc and acetic acid, producing amine (XXXI), which is subsequently acetylated with Ac2O, to afford acetamide (XXXII).

合成路线图解说明:

Catalytic hydrogenolysis of the benzyl and benzhydryl groups of (XXXII) in the presence of Pearlman's catalyst provides (XXXIII). The phenyl phosphate ester groups of (XXXIII) are finally removed by hydrogenation over PtO2 to furnish the title compound.

Drug Information Express,Drug R&D,Chemical Database,Patent Search.
Copyright © 2006-2026 Drug Future. All rights reserved.Contact Us