【药物名称】SC-276
化学结构式(Chemical Structure):
参考文献No.630339
标题:Design and synthesis of beta-sulfone and alpha-sulfone hydroxamates as potent and orally active MMP inhibitors
作者:Becker, D.P.; Hockerman, S.L.; Barta, T.E.; et al.
来源:222nd ACS Natl Meet (Aug 26 2001, Chicago) 2001,Abst MEDI 259
合成路线图解说明:

Ethyl isonipecotate (I) was protected as the N-Boc derivative (II) employing di-tert-butyl dicarbonate. Sulfenylation of the lithium enolate of ester (II) with the disulfide (IV), generated from the oxidation of 4-fluorothiophenol (III), furnished the phenylsulfanyl derivative (V). Thioether (V) was then oxidized to the corresponding sulfone (VI) by means of meta-chloroperbenzoic acid. After acidic Boc group cleavage in (VI), the resultant piperidine (VII) was alkylated with propargyl bromide (VIII) to produce the N-propargyl piperidine (IX).

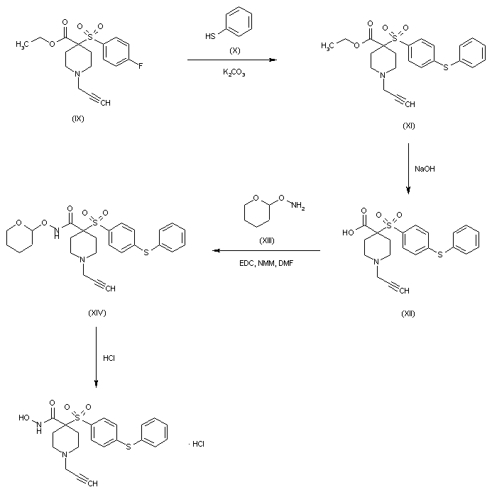
合成路线图解说明:

Displacement of the 4-fluoro group of (IX) with thiophenol (X) in the presence of K2CO3 led to the diaryl sulfide (XI). Acid (XII), prepared by alkaline hydrolysis of ester (XI), was then coupled to O-tetrahydropyranyl hydroxylamine (XIII) by means of EDC to furnish (XIV). Finally, acidic cleavage of the tetrahydropyranyl moiety produced the corresponding hydroxamic acid.

Drug Information Express,Drug R&D,Chemical Database,Patent Search.
Copyright © 2006-2026 Drug Future. All rights reserved.Contact Us