【药物名称】Lidofenin, 99Tcm-HIDA, Hepato-Scan
化学结构式(Chemical Structure):
参考文献No.607177
标题:Tissue distribution of technetium-99m and carbon-14 labeled N-(2,6-dimethylphenylcarbamoylmethyl)iminodiacetic acid
作者:Callery, P.S.; Faith, W.C.; Loberg, M.D.; Fields, A.T.; Harvey, E.B.; Cooper, M.D.
来源:J Med Chem 1976,19(7),962-964
合成路线图解说明:

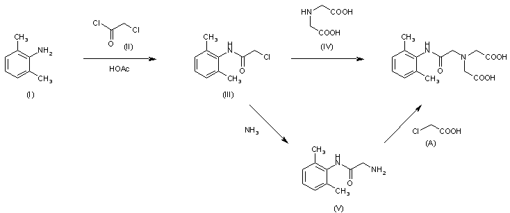
Compound can be prepared in two related ways: 1) The acylation of 2,6-dimethylaniline (I) with chloroacetyl chloride (II) in acetic acid gives omega-chloro-2,6-dimethylacetanilide (III), which is then condensed with disodium salt of iminodiacetic acid (IV) in refluxing ethanol-water. 2) The reaction of (III) with ammonia in ethanol gives omega-amino-2,6-dimethylacetanilide (V), which is finally treated with chloroacetic acid (A) and NaOH in refluxing 95% ethanol.

参考文献No.800515
标题:Lidofenin
作者:Casta馿r, J.; Blancafort, P.; Serradell, M.N.; Paton, D.M.
来源:Drugs Fut 1979,4(5),342
合成路线图解说明:

Compound can be prepared in two related ways: 1) The acylation of 2,6-dimethylaniline (I) with chloroacetyl chloride (II) in acetic acid gives omega-chloro-2,6-dimethylacetanilide (III), which is then condensed with disodium salt of iminodiacetic acid (IV) in refluxing ethanol-water. 2) The reaction of (III) with ammonia in ethanol gives omega-amino-2,6-dimethylacetanilide (V), which is finally treated with chloroacetic acid (A) and NaOH in refluxing 95% ethanol.

Drug Information Express,Drug R&D,Chemical Database,Patent Search.
Copyright © 2006-2026 Drug Future. All rights reserved.Contact Us