【药物名称】(R)-HI-511
化学结构式(Chemical Structure):
参考文献No.593645
标题:Stereochemistry of halopyridyl and thiazolyl thiourea compounds is a major determinant of their potency as nonnucleoside inhibitors of HIV-1 reverse transcriptase
作者:Venkatachalam, T.K.; Sudbeck, E.A.; Mao, C.; Uckun, F.M.
来源:Bioorg Med Chem Lett 2000,10(18),2071
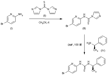
合成路线图解说明:

Condensation of 2-amino-5-bromopyridine (I) with thiocarbonyl diimidazole (II) gave rise to thioimidazolide (III), which was then condensed with (R)-1-phenylethylamine (IV) to yield the title thiourea.

Drug Information Express,Drug R&D,Chemical Database,Patent Search.
Copyright © 2006-2026 Drug Future. All rights reserved.Contact Us