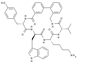
【药物名称】DJS-811
化学结构式(Chemical Structure):
参考文献No.593639
标题:Template-constrained cyclic peptide analogues of somatostatin: Subtype-selective binding to somatostatin receptors and antiangiogenic activity
作者:Suich, D.J.; Mousa, S.A.; Singh, G.; Liapakis, G.; Reisine, T.; DeGrado, W.F.
来源:Bioorg Med Chem 2000,8(9),2229
合成路线图解说明:

3-Iodobenzoic acid (I) was converted to ethyl ester (II) by treatment with DCC and DMAP in ethanol. Subsequent Suzuki coupling of (II) with 2-formylbenzeneboronic acid (III) furnished the biphenyl derivative (IV). Formation of oxime (V) using hydroxylamine hydrochloride, followed by reduction with zinc metal and HOAc, afforded amino ester (VI). Saponification of the ethyl ester (VI) gave amino acid (VII), which was coupled with Fmoc-L-valine (VIII) by means of HBTU to yield amide (IX). This compound was attached to Wang resin using DIPC and DMAP to produce resin (X). Deprotection of the Fmoc group by means of piperidine in DMF then gave the corresponding amino compound (XI). To this were incorporated protected amino acid Fmoc-L-lysine(Z) (XII) followed by a deprotection step with piperidine in DMF, to yield the resin-bound peptide (XIII). (Scheme 29421701a)

合成路线图解说明:

3-Iodobenzoic acid (I) was converted to ethyl ester (II) by treatment with DCC and DMAP in ethanol. Subsequent Suzuki coupling of (II) with 2-formylbenzeneboronic acid (III) furnished the biphenyl derivative (IV). Formation of oxime (V) using hydroxylamine hydrochloride, followed by reduction with zinc metal and HOAc, afforded To derivative (XIII) were sequentially incorporated the following protected amino acids: Fmoc-D-tryptophan (XIV) and Fmoc-L-tyrosine(2,6-Cl2Bzl) (XVI), each followed by a deprotection step with piperidine in DMF, to yield the resin-bound peptides (XV) and (XVII), respectively. Cleavage of the linear intermediate (XVIII) from the resin was accomplished by treatment with trifluoroacetic acid. This intermediate was cyclized by means of HATU to give (XIX). Finally, the side-chain protecting groups of (XIX) were removed by transfer hydrogenation to afford the title compound. (Scheme 29421701b)

Drug Information Express,Drug R&D,Chemical Database,Patent Search.
Copyright © 2006-2026 Drug Future. All rights reserved.Contact Us