【药物名称】UCB-62106
化学结构式(Chemical Structure):
参考文献No.42369
标题:Muscarinic agonists and antagonists
作者:Cai, X.; Grewal, G.; Toy-Palmer, A.; Latham, G.M. (UCB SA)
来源:EP 1112272; JP 2002523416; US 6093724; WO 0011001
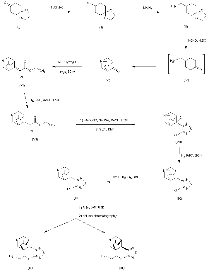
合成路线图解说明:

1,4-Cyclohexanedione mono-ethylene ketal (I) was converted to nitrile (II) upon treatment with p-tosylmethyl isocyanide. Reduction of the nitrile (II) by means of LiAlH4 gave rise to amino ketal (III). Ketal group hydrolysis in (III) with concomitant double Mannich reaction of the intermediate amino ketone (IV) with formaldehyde furnished the aza adamantanone (V). Knoevenagel condensation of ketone (V) with ethyl cyanoacetate and triethylamine produced the unsaturated cyano ester (VI), which was further reduced to (VII) by catalytic hydrogenation over Pd/C. The target thiadiazole derivative (VIII) was then obtained by nitrosation of (VII) with isoamyl nitrite, followed by reaction with sulfur monochloride. Selective dehalogenation of (VIII) was accomplished by catalytic hydrogenation over Pd/C yielding the mono-chloro derivative (IX). Chloride displacement in (IX) with sodium hydrogen sulfide generated the intermediate thiol (X), which was subsequently alkylated with propyl bromide to produce a mixture of s- (XI) and r-isomers (XII), separable by column chromatography.

参考文献No.593459
标题:Selective M4-agonists for treatment of pain
作者:Grewal, G.; Bayne, C.; Alessi, M.K.; et al.
来源:16th Int Symp Med Chem (Sept 18 2000, Bologna) 2000,Abst PB-74
合成路线图解说明:

1,4-Cyclohexanedione mono-ethylene ketal (I) was converted to nitrile (II) upon treatment with p-tosylmethyl isocyanide. Reduction of the nitrile (II) by means of LiAlH4 gave rise to amino ketal (III). Ketal group hydrolysis in (III) with concomitant double Mannich reaction of the intermediate amino ketone (IV) with formaldehyde furnished the aza adamantanone (V). Knoevenagel condensation of ketone (V) with ethyl cyanoacetate and triethylamine produced the unsaturated cyano ester (VI), which was further reduced to (VII) by catalytic hydrogenation over Pd/C. The target thiadiazole derivative (VIII) was then obtained by nitrosation of (VII) with isoamyl nitrite, followed by reaction with sulfur monochloride. Selective dehalogenation of (VIII) was accomplished by catalytic hydrogenation over Pd/C yielding the mono-chloro derivative (IX). Chloride displacement in (IX) with sodium hydrogen sulfide generated the intermediate thiol (X), which was subsequently alkylated with propyl bromide to produce a mixture of s- (XI) and r-isomers (XII), separable by column chromatography.

Drug Information Express,Drug R&D,Chemical Database,Patent Search.
Copyright © 2006-2026 Drug Future. All rights reserved.Contact Us