【药物名称】D14
化学结构式(Chemical Structure):
参考文献No.709976
标题:Benzodiazepine receptor ligands. 7. Synthesis and pharmacological evaluation of new 3-esters of the 8-chloropyrazolo[5,1-c][1,2,4]benzotriazine 5-oxide. 3-(2-Thienylmethoxycarbonyl) derivative: An anxioselective agent in rodents
作者:Costanzo, A.; Guerrini, G.; Ciciani, G.; Bruni, F.; Costagli, C.; Selleri, S.; Besnard, F.; Costa, B.; Martini, C.; Malmberg Aiello, P.
来源:J Med Chem 2002,45(26),5710
合成路线图解说明:

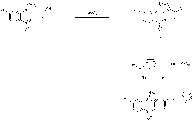
The known 3-carboxy-8-chloropyrazolo[5,1-c][1,2,4]benzotriazine 5-oxide (I) is converted into the corresponding acid chloride (II) upon treatment with SOCl2. Subsequent condensation of acid chloride (II) with 2-thienylmethanol (III) in CHCl3 in the presence of pyridine leads to the title thienylmethyl ester.

Drug Information Express,Drug R&D,Chemical Database,Patent Search.
Copyright © 2006-2026 Drug Future. All rights reserved.Contact Us