【药物名称】21-Aminoepothilone B, BMS-310705
化学结构式(Chemical Structure):
参考文献No.44782
标题:C-21 modified epothilones
作者:Kim, S.-H.; Glaser, N.; Leibold, T.; Hoefle, G.; Vite, G. (Bristol-Myers Squibb Co.; Gesellschaft f黵 Biotechnologische Forschung mbH)
来源:DE 19907588; EP 1157023; US 6262094; WO 0050423
合成路线图解说明:

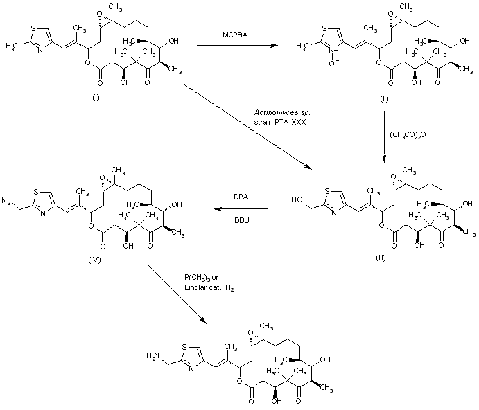
The reaction of epothilone B (I) with MCPBA in dichloromethane gives the N-oxide (II), which is treated with trifluoroacetic anhydride and 2,6-lutidine in dichloromethane at 70 C in a sealed tube to yield the hydroxymethyl derivative (epothilone F) (III). The reaction of (III) with diphenylphosphoryl azide (DPA) and DBU in THF affords the azidomethyl compound (IV), which is reduced with PMe3 in THF or with H2 and Lindlar catalyst in ethanol to provide the target amino epothilone. Alternatively, the hydroxymethyl derivative (epothilone F) (III) can be obtained by biochemical hydroxylation of epothilone B (I) with Actinomyces sp. strain PTA-XXX.

参考文献No.54397
标题:Synergistic methods and compsns. for treating cancer
作者:Lee, F.Y. (Bristol-Myers Squibb Co.)
来源:WO 0172721
合成路线图解说明:

The reaction of epothilone B (I) with MCPBA in dichloromethane gives the N-oxide (II), which is treated with trifluoroacetic anhydride and 2,6-lutidine in dichloromethane at 70 C in a sealed tube to yield the hydroxymethyl derivative (epothilone F) (III). The reaction of (III) with diphenylphosphoryl azide (DPA) and DBU in THF affords the azidomethyl compound (IV), which is reduced with PMe3 in THF or with H2 and Lindlar catalyst in ethanol to provide the target amino epothilone. Alternatively, the hydroxymethyl derivative (epothilone F) (III) can be obtained by biochemical hydroxylation of epothilone B (I) with Actinomyces sp. strain PTA-XXX.

参考文献No.54911
标题:Microbial transformation method for the preparation of an epothilone
作者:Matson, J.A.; Lam, K.S.; Huang, X.; Li, W.; McClure, G.A. (Bristol-Myers Squibb Co.)
来源:WO 0039276
合成路线图解说明:

The reaction of epothilone B (I) with MCPBA in dichloromethane gives the N-oxide (II), which is treated with trifluoroacetic anhydride and 2,6-lutidine in dichloromethane at 70 C in a sealed tube to yield the hydroxymethyl derivative (epothilone F) (III). The reaction of (III) with diphenylphosphoryl azide (DPA) and DBU in THF affords the azidomethyl compound (IV), which is reduced with PMe3 in THF or with H2 and Lindlar catalyst in ethanol to provide the target amino epothilone. Alternatively, the hydroxymethyl derivative (epothilone F) (III) can be obtained by biochemical hydroxylation of epothilone B (I) with Actinomyces sp. strain PTA-XXX.

Drug Information Express,Drug R&D,Chemical Database,Patent Search.
Copyright © 2006-2026 Drug Future. All rights reserved.Contact Us