【药物名称】CB-300919
化学结构式(Chemical Structure):
参考文献No.44777
标题:Anti-cancer dihydroquinazoline derivs.
作者:Bavetsias, V.; Jackman, A.; Skelton, L. (Cancer Research Campaign Technology Ltd.)
来源:WO 0050417
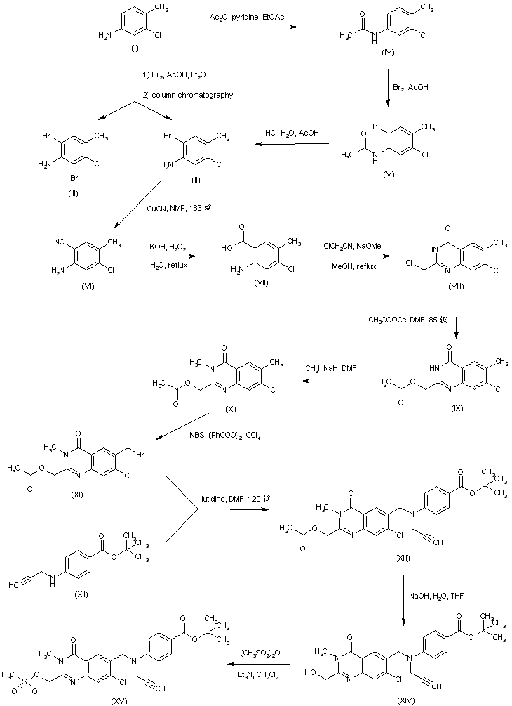
合成路线图解说明:

Bromination of 3-chloro-4-methylaniline (I) in HOAc-Et2O afforded a mixture of the desired 2-bromo-5-chloro-4-methylaniline (II) and the dibromo derivative (III), which were separated by column chromatography. In an alternative procedure, aniline (I) was converted to the acetanilide (IV), which was then brominated to give (V). Subsequent acid hydrolysis of amide (V) provided the bromo aniline (II). Treatment of (II) with CuCN in hot NMP furnished nitrile (VI). This was hydrolyzed to the corresponding carboxylic acid (VII) using potassium hydroperoxide generated in situ. Cyclization of (VII) with chloroacetonitrile in the presence of NaOMe generated the quinazolinone system (VIII). The acetate ester (IX) was then obtained by displacement of the chloride group of (VIII) with cesium acetate in hot DMF. Further N-alkylation of quinazoline (IX) using methyl iodide and NaH produced (X). The bromomethyl derivative (XI) was prepared by benzylic bromination of (X) with N-bromosuccinimide in the presence of benzoyl peroxide. Condensation of bromide (XI) with tert-butyl 4-(N-propargylamino)benzoate (XII) yielded adduct (XIII). The acetate ester of (XIII) was then hydrolyzed with NaOH to give the hydroxymethyl quinazoline (XIV), which was subsequently converted to the mesylate (XV) upon treatment with methanesulfonic anhydride and Et3N.

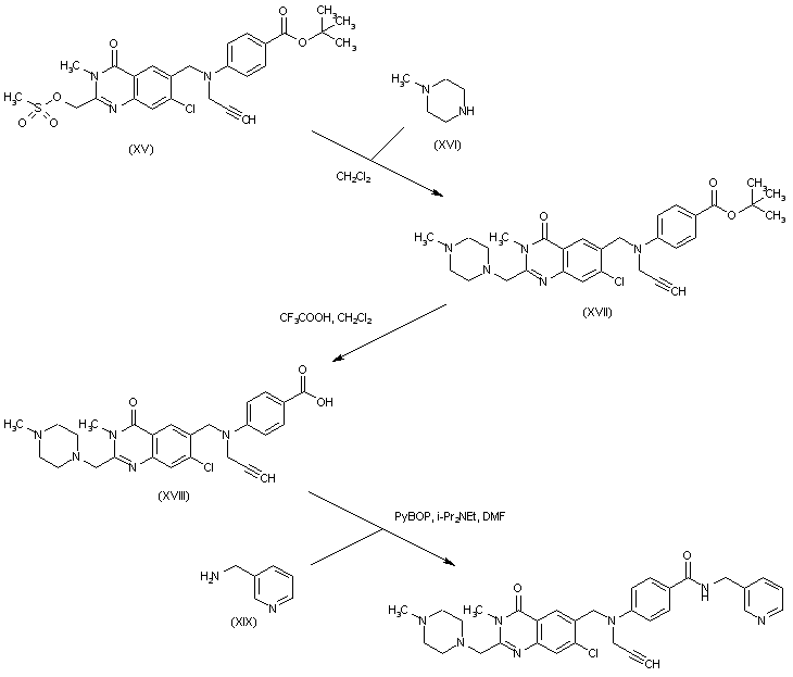
合成路线图解说明:

Displacement of the mesylate group of (XV) with N-methylpiperazine (XVI) produced the disubstituted piperazine (XVII). The tert-butyl ester of (XVII) was cleaved to the corresponding carboxylic acid (XVIII) by means of trifluoroacetic acid in CH2Cl2. Then coupling of (XVIII) with 3-(aminomethyl)pyridine (XIX) gave rise to the title amide.

参考文献No.685816
标题:The design and synthesis of water-soluble analogues of CB30865, a quinazolin-4-one-based antitumor agent
作者:Bavetsias, V.; Skelton, L.A.; Yafai, F.; Mitchell, F.; Wilson, S.C.; Allan, B.; Jackman, A.L.
来源:J Med Chem 2002,45(17),3692
合成路线图解说明:

Bromination of 3-chloro-4-methylaniline (I) in HOAc-Et2O afforded a mixture of the desired 2-bromo-5-chloro-4-methylaniline (II) and the dibromo derivative (III), which were separated by column chromatography. In an alternative procedure, aniline (I) was converted to the acetanilide (IV), which was then brominated to give (V). Subsequent acid hydrolysis of amide (V) provided the bromo aniline (II). Treatment of (II) with CuCN in hot NMP furnished nitrile (VI). This was hydrolyzed to the corresponding carboxylic acid (VII) using potassium hydroperoxide generated in situ. Cyclization of (VII) with chloroacetonitrile in the presence of NaOMe generated the quinazolinone system (VIII). The acetate ester (IX) was then obtained by displacement of the chloride group of (VIII) with cesium acetate in hot DMF. Further N-alkylation of quinazoline (IX) using methyl iodide and NaH produced (X). The bromomethyl derivative (XI) was prepared by benzylic bromination of (X) with N-bromosuccinimide in the presence of benzoyl peroxide. Condensation of bromide (XI) with tert-butyl 4-(N-propargylamino)benzoate (XII) yielded adduct (XIII). The acetate ester of (XIII) was then hydrolyzed with NaOH to give the hydroxymethyl quinazoline (XIV), which was subsequently converted to the mesylate (XV) upon treatment with methanesulfonic anhydride and Et3N.

合成路线图解说明:

Displacement of the mesylate group of (XV) with N-methylpiperazine (XVI) produced the disubstituted piperazine (XVII). The tert-butyl ester of (XVII) was cleaved to the corresponding carboxylic acid (XVIII) by means of trifluoroacetic acid in CH2Cl2. Then coupling of (XVIII) with 3-(aminomethyl)pyridine (XIX) gave rise to the title amide.

Drug Information Express,Drug R&D,Chemical Database,Patent Search.
Copyright © 2006-2026 Drug Future. All rights reserved.Contact Us