【药物名称】
化学结构式(Chemical Structure):
参考文献No.597611
标题:Synthesis and evaluation of novel steroidal oxime inhibitors of P450 17 (17alpha-hydroxylase/C17-20-lyase)and 5alpha-reductase types 1 and 2
作者:Hartmann, R.W.; Hector, M.; Haidar, S.; Ehmer, P.B.; Reichert, W.; Jose, J.
来源:J Med Chem 2000,43(22),4266
合成路线图解说明:

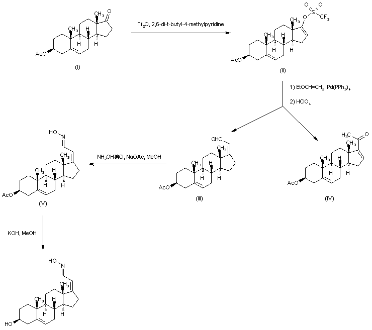
3-beta-Acetoxyandrost-5-en-17-one (I) was converted into enol triflate (II) by reaction with trifluoromethanesulfonic anhydride in the presence of a hindered base. The subsequent palladium-catalyzed coupling of (II) with ethyl vinyl ether produced a mixture of regioisomeric enol ethers which, after acid hydrolysis, afforded aldehyde (III) and ketone (IV). The minor aldehyde compound (III) was isolated by liquid chromatography and then converted into oxime (V) using hydroxylamine hydrochloride and NaOAc. Finally, the acetate ester group of (V) was hydrolyzed by means of methanolic KOH.

Drug Information Express,Drug R&D,Chemical Database,Patent Search.
Copyright © 2006-2026 Drug Future. All rights reserved.Contact Us