【药物名称】OC-229-648
化学结构式(Chemical Structure):
参考文献No.43821
标题:Substd. thiazoles for treatment of human diseases involving modulators of P-, L- and E-selectin
作者:Kondo, H.; Inoue, Y.; Jones, T.K.; Ripka, W.C.; Yu, J.; Raheja, R.K.; Nguyen, T.N.; Slee, D.H. (NV Organon; Ontogen Corp.)
来源:WO 0033836; WO 0034255
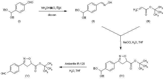
合成路线图解说明:

Terephthaldehyde mono-diethyl acetal (I) was treated with hydroxylamine.HCl and Et3N to give the corresponding oxime (II). The nitrile oxide resulting from the treatment of oxime (II) with sodium hypochlorite was subjected to a dipolar cycloaddition with tert-butyl acrylate (III), yielding the isoxazoline (IV). Subsequent hydrolysis of acetal (IV) employing an acidic ion-exchange resin provided the intermediate isoxazoline aldehyde (V).

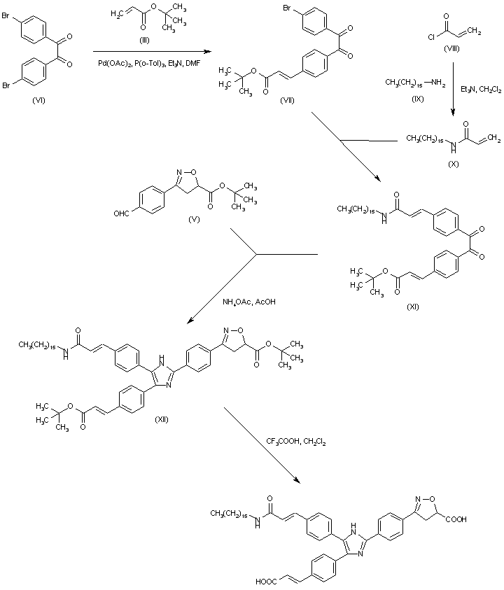
合成路线图解说明:

Heck reaction of 4,4'-dibromobenzil (VI) with tert-butyl acrylate (III) in the presence of palladium diacetate and tri(o-tolyl)phosphine afforded the arylacrylate ester (VII), which was subsequently condensed with the acrylamide (X) (prepared from acryloyl chloride (VIII) and hexadecylamine (IX)), to furnish adduct (XI). The condensation of diketone (XI) with aldehyde (V) in the presence of ammonium acetate in HOAc produced imidazole (XII). The tert-butyl ester groups of (XII) were finally cleaved by treatment with trifluoroacetic acid.

参考文献No.619145
标题:Development of potent non-carbohydrate imidazole-based small molecule selectin inhibitors antiinflammatory activity
作者:Slee, D.H.; Romano, S.J.; Yu, J.; Nguyen, T.N.; John, J.K.; Raheja, N.K.; Axe, F.U.; Jones, T.K.; Ripka, W.C.
来源:J Med Chem 2001,44(13),2094
合成路线图解说明:

Terephthaldehyde mono-diethyl acetal (I) was treated with hydroxylamine.HCl and Et3N to give the corresponding oxime (II). The nitrile oxide resulting from the treatment of oxime (II) with sodium hypochlorite was subjected to a dipolar cycloaddition with tert-butyl acrylate (III), yielding the isoxazoline (IV). Subsequent hydrolysis of acetal (IV) employing an acidic ion-exchange resin provided the intermediate isoxazoline aldehyde (V).

合成路线图解说明:

Heck reaction of 4,4'-dibromobenzil (VI) with tert-butyl acrylate (III) in the presence of palladium diacetate and tri(o-tolyl)phosphine afforded the arylacrylate ester (VII), which was subsequently condensed with the acrylamide (X) (prepared from acryloyl chloride (VIII) and hexadecylamine (IX)), to furnish adduct (XI). The condensation of diketone (XI) with aldehyde (V) in the presence of ammonium acetate in HOAc produced imidazole (XII). The tert-butyl ester groups of (XII) were finally cleaved by treatment with trifluoroacetic acid.

Drug Information Express,Drug R&D,Chemical Database,Patent Search.
Copyright © 2006-2026 Drug Future. All rights reserved.Contact Us