【药物名称】ABT-963
化学结构式(Chemical Structure):
参考文献No.43246
标题:Prostaglandin endoperoxide H synthase biosynthesis inhibitors
作者:Stewart, A.O.; Black, L.A.; Basha, A.; Patel, M.V.; Kolasa, T.; Coghlan, M.J.; Liu, H.; Kort, M.E.; McCarty, C.M.; Rohde, J.J. (Abbott Laboratories Inc.)
来源:EP 1124804; JP 2003512292; WO 0024719
合成路线图解说明:

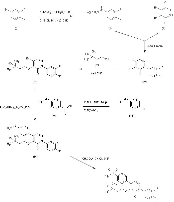
Diazotization of 3,4-difluoroaniline (I), followed by reduction with SnCl2 gives rise to hydrazine (II). This is then condensed with mucobromic acid (III) in refluxing AcOH to produce the pyridazinone (IV). Selective displacement of the 4-bromo of (IV) with the sodium alkoxide of 3-methyl-1,3-butanediol (V) yields ether (VI). 4-(Methylsulfanyl)benzeneboronic acid (VIII) is prepared by metalation of 4-bromothioanisole (VII) with butyl lithium, followed by reaction with trimethyl borate, and aqueous work-up. Suzuki coupling of boronic acid (VIII) with bromopyridazinone (VI) furnishes the 5-(methylsufanylphenyl)pyridazinone (IX). Finally, the sulfide group of (IX) is oxidized to the target sulfone by using peracetic acid in cold dichloromethane.

Drug Information Express,Drug R&D,Chemical Database,Patent Search.
Copyright © 2006-2026 Drug Future. All rights reserved.Contact Us