【药物名称】Pelitinib, WAY-EKB-569, EKB-569
化学结构式(Chemical Structure):
参考文献No.710396
标题:Synthesis and structure-activity relationships of 6,7-disubstituted 4-anilinoquinoline-3-carbonitriles. The design of an orally active, irreversible inhibitor of the tyrosine kinase activity of the epidermal growth factor receptor (EGFR) and the human epi
作者:Wissner, A.; Overbeek, E.; Reich, M.F.; Floyd, B.; Johnson, B.D.; Mamuya, N.; Rosfjord, E.C.; Discafani, C.; Davis, R.; Shi, X.; Rabindran, S.K.; Gruber, B.C.; Ye, F.; Hallett, W.A.; Nilakantan, R.; Shen, R.; Wang, Y.-F.; Greenberger, L.M.; Tsou, H.-R.
来源:J Med Chem 2003,46(1),49
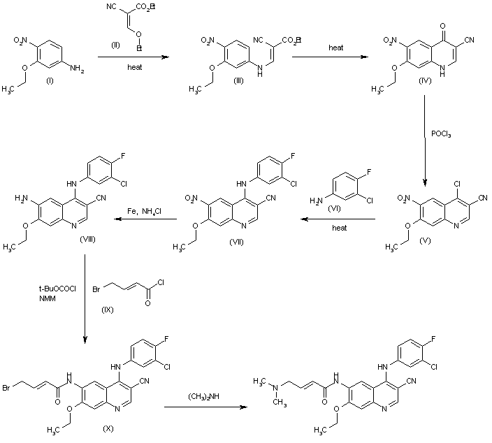
合成路线图解说明:

The condensation of 3-ethoxy-4-nitroaniline (I) with 2-(ethoxymethylene)cyanacetic acid ethyl ester (II) in refluxing toluene gives the adduct (III), which is further cyclized in Dowtherm at 258 C to yield 7-ethoxy-6-nitro-4-oxo-1,4-dihydroquinoline-3-carbonitrile (IV). The reaction of (IV) with refluxing POCl3 affords the 4-chloroquinoline (V), which is condensed with 3-chloro-4-fluoroaniline (VI) in refluxing isopropanol to provide the secondary amine (VII). The reduction of the nitro group of (VII) with Fe and NH4Cl in refluxing methanol/water gives the corresponding amino derivative (VIII), which is condensed with the acid chloride (IX) by means of t-BuOCOCl and NMM in THF to yield the amide (X). Finally, this compound is treated with dimethylamine in THF to afford the target quinoline-3-carbonitrile.

Drug Information Express,Drug R&D,Chemical Database,Patent Search.
Copyright © 2006-2026 Drug Future. All rights reserved.Contact Us