【药物名称】CRL-8256
化学结构式(Chemical Structure):
参考文献No.41936
标题:Pharmaceutical compsns. comprising 2-quinolones
作者:Guillaumet, G.; Darro, F.; Frydman, A.; Joseph, B.; Kiss, R. (Laboratoires L. Lafon)
来源:EP 1097138; FR 2781218; WO 0003990
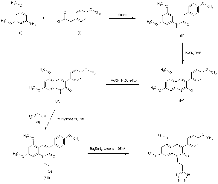
合成路线图解说明:

Acylation of 3,5-dimethoxyaniline (I) with 4-methoxyphenylacetyl chloride (II) afforded amide (III). Treatment of (III) with Vilsmeier reagent gave rise to 2-chloroquinoline derivative (IV), which was hydrolyzed to quinolinone (V) using aqueous HOAc. Conjugate addition to (V) of acrylonitrile (VI) produced the cyanoethyl quinolinone (VII). The title tetrazole was then obtained by reaction of nitrile (VII) with tributyltin azide in hot toluene.

参考文献No.672304
标题:3-Aryl-2-quinolone derivatives: Synthesis and characterization of in vitro and in vivo antitumor effects with emphasis on a new therapeutical target connected with cell migration
作者:Joseph, B.; Darro, F.; Behard, A.; Lesur, B.; Collignon, F.; Decaestecker, C.; Frydman, A.; Guillaumet, G.; Kiss, R.
来源:J Med Chem 2002,45(12),2543
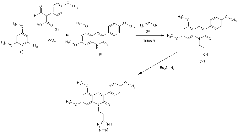
合成路线图解说明:

The cyclization of 3,5-dimethoxyaniline (I) with 2-formyl-2-(4-methoxyphenyl)acetic acid ethyl ester (II) by means of polyphosphoric acid trimethylsilyl ester (PPSE) by heating at 110 C gives the quinolone (III), which is alkylated with vinyl cyanide (IV) by means of Triton B in DMF to yield the propionitrile derivative (V). Finally, the cyano group of (V) is converted into the target tetrazolyl derivative by cyclization with tri-tert-butylstannyl azide in refluxing toluene.

Drug Information Express,Drug R&D,Chemical Database,Patent Search.
Copyright © 2006-2026 Drug Future. All rights reserved.Contact Us