【药物名称】WQ-2944(free acid), WQ-3402
化学结构式(Chemical Structure):
参考文献No.36799
标题:Novel pyridonecarboxylic acid derivs. or salts thereof and drugs containing the same as the active ingredient
作者:Sakae, N.; Yazaki, A.; Kuramoto, Y.; Yoshida, J.; Niino, Y.; Oshita, Y.; Hirao, Y.; Hayashi, N.; Amano, H. (Wakunaga Pharmaceutical Co., Ltd.)
来源:EP 0945435; WO 9823592
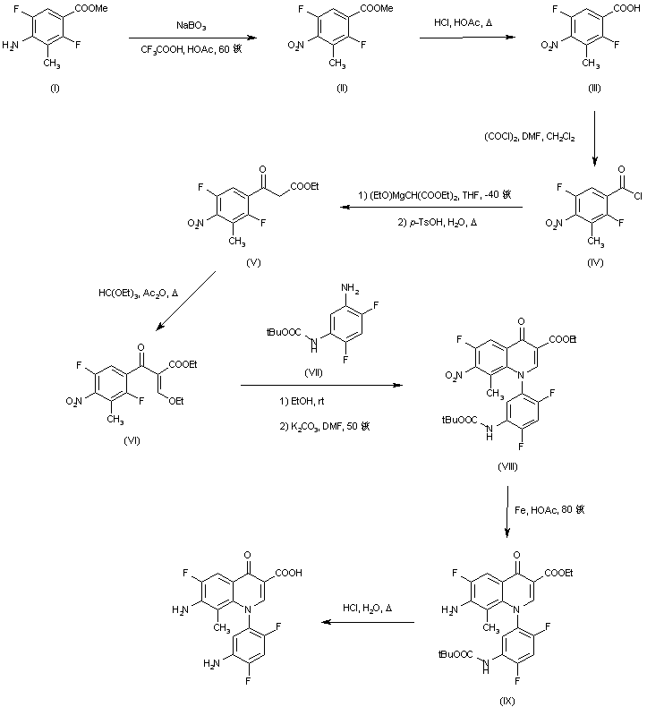
合成路线图解说明:

Methyl 4-amino-2,5-difluoro-3-methylbenzoate (I) was oxidized to the corresponding nitro derivative (II) with sodium perborate in TFA-AcOH. Acid hydrolysis of the methyl ester afforded carboxylic acid (III), which was converted into acid chloride (IV) employing oxalyl chloride and a catalytic amount of DMF. Condensation of (IV) with the magnesium salt of diethyl malonate, followed by acid-catalyzed decarbethoxylation gave rise to keto ester (V). Subsequent condensation of (V) with triethyl orthoformate in the presence of acetic anhydride yielded the ethoxymethylene derivative (VI). Reaction of (VI) with aniline (VII) followed by cyclization of the intermediate enamine in the presence of K2CO3 afforded quinolone (VIII). The nitro group of (VIII) was then reduced to aniline (IX) by means of iron and AcOH. Finally, acid deprotection of the Boc group of (IX) gave the title compound.

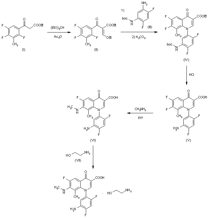
合成路线图解说明:

Treatment of benzoylacetate derivative (I) with triethyl orthoformate and Ac2O yields derivative (II), which is then subjected to cyclization with N-tert-buxoxycarbonyl-2,4-difluoro-m-phenylenediamine (III) in EtOH, followed by treatment with K2CO3 in DMF, to afford dihydroquinoline ethyl carboxylate derivative (IV). Simultaneous hydrolysis and Boc removal of (IV) with HCl gives carboxylic acid (V), which is then treated with an aqueous solution of methylamine in the presence of pyridine to provide derivative (VI). Finally, the ethanolamine salt of the compound is formed by treatment of (VI) with ethanolamine and pyridine.

Drug Information Express,Drug R&D,Chemical Database,Patent Search.
Copyright © 2006-2026 Drug Future. All rights reserved.Contact Us