【药物名称】VRC-3375
化学结构式(Chemical Structure):
参考文献No.59500
标题:Novel succinate cpds., compsns. and methods of use and preparation
作者:Patel, D.V.; Jacobs, J.W.; Yuan, Z.; Ni, Z.-J.; Jain, R. (Vicuron Pharmaceuticals Inc.)
来源:EP 1237862; JP 2003534239; US 2002115863; US 6797820; WO 0144179
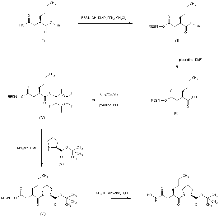
合成路线图解说明:

The title compound has been prepared by solid phase synthesis. Attachment of (R)-2-butylsuccinic acid 1-fluorenylmethyl ester (I) to ArgoGel resin under Mitsunobu conditions affords the succinate-bound resin (II). Subsequent deprotection with piperidine in DMF leads to the acid-resin (III), which is further activated as the pentafluorophenyl ester (IV) upon treatment with pentafluorophenyl trifluoroacetate. Coupling of active ester (IV) with L-proline tert-butyl ester (V) furnishes amide (VI). Finally, cleavage of the resin by means of hydroxylamine in aqueous dioxane provides the target hydroxamic acid.

合成路线图解说明:

In an alternative procedure, (R)-2-butylsuccinic acid 4-methyl ester (I) is coupled to L-proline tert-butyl ester (II) to afford amide (III). Then, displacement of the methyl ester group with hydroxylamine gives rise to the desired hydroxamic acid.

Drug Information Express,Drug R&D,Chemical Database,Patent Search.
Copyright © 2006-2026 Drug Future. All rights reserved.Contact Us