【药物名称】Y-931
化学结构式(Chemical Structure):
参考文献No.38729
标题:Fused thiophene cpds. and medicinal use thereof
作者:Fujimura, M.; Horiuchi, H.; Tanaka, H.; Kohara, T.; Hashimoto, K.; Kimura, K.; Seio, K.; Yasumatsu, H. (Welfide Corporation)
来源:EP 1016664; JP 2001072684; WO 9911647
合成路线图解说明:

The condensation of ethyl 2-aminobenzo[b]thiophene-3-carboxylate (I) with 2,4-difluoronitrobenzene (II) afforded the diaryl amine (III). The nitro group of (III) was then reduced to amine (IV) by catalytic hydrogenation over Pd/C. Then, cyclization of amino ester (IV) with N-methylpiperazine (V) using TiCl4 in hot anisole produced the target benzothienobenzodiazepine, which was finally isolated as the corresponding maleate salt.

合成路线图解说明:

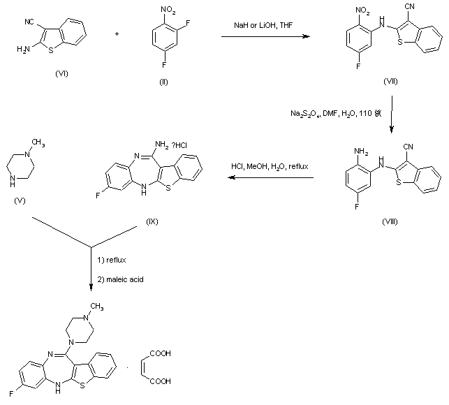
In a related procedure, the condensation of 2-aminobenzo[b]thiophene-3-carbonitrile (VI) with 2,4-difluoronitrobenzene (II) produced the diaryl amine (VII). Reduction of the nitro group of (VII) using sodium hydrosulfite yielded diamine (VIII). Subsequent cyclization of amino nitrile (VIII) upon acidic treatment gave rise to the tetracyclic system (IX). This was then treated with refluxing N-methylpiperazine (V) to provide the title compound.

参考文献No.592888
标题:Y-931, a novel antipsychotic with potential anti-NRH (NMDA receptor-hypofunction) activity: Synthesis and structure-activity relationships of 6H-[1]benzothieno[2,3-b][1,5]benzodiazepines
作者:Horiuchi, H.; Kimura, K.; Tanaka, H.; et al.
来源:16th Int Symp Med Chem (Sept 18 2000, Bologna) 2000,Abst PB-128
合成路线图解说明:

In a related procedure, the condensation of 2-aminobenzo[b]thiophene-3-carbonitrile (VI) with 2,4-difluoronitrobenzene (II) produced the diaryl amine (VII). Reduction of the nitro group of (VII) using sodium hydrosulfite yielded diamine (VIII). Subsequent cyclization of amino nitrile (VIII) upon acidic treatment gave rise to the tetracyclic system (IX). This was then treated with refluxing N-methylpiperazine (V) to provide the title compound.

Drug Information Express,Drug R&D,Chemical Database,Patent Search.
Copyright © 2006-2026 Drug Future. All rights reserved.Contact Us