【药物名称】W-1807, BAY-W-1807
化学结构式(Chemical Structure):
参考文献No.2712
标题:1-Alkyl-substd. 1,4-dihydropyridine lactones, process for their preparation and their use in pharmaceuticals
作者:Puls, W.; Bossert, F.; Petzinna, D.; Schlossmann, K.; Goldmann, S.; Bischoff, H. (Bayer AG)
来源:DE 3410645; EP 0158138; ES 8607309; ES 8702413; ES 8702414; ES 8702415; ES 8702416; ES 8702417; ES 8702418; ES 8704173; ES 8704174; US 5026714
合成路线图解说明:

The title compound was prepared by N-alkylation of the known dihydropyridine (I) with ethyl iodide in the presence of LDA.

合成路线图解说明:

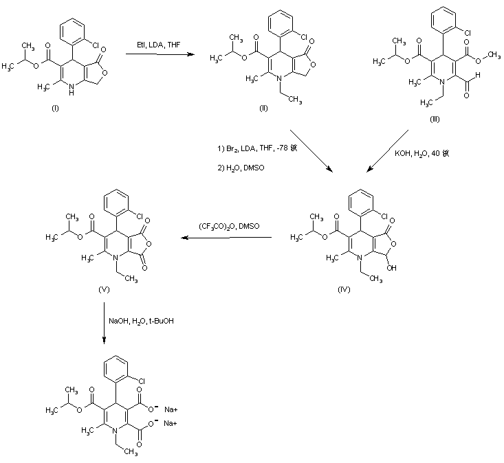
The intermediate hydroxy lactone (IV) was prepared by two alternative procedures: Compound (II) was prepared by N-alkylation of the known dihydropyridine (I) with ethyl iodide in the presence of LDA (1). Bromination of the lithium derivative of (II) at -78 C followed by aqueous hydrolysis provided hydroxy lactone (IV). This intermediate was also prepared by basic treatment of formyl ester (III). Hydroxy lactone (IV) was oxidized to cyclic anhydride (V) by treatment with trifluoroacetic anhydride in DMSO. Then, basic hydrolysis of anhydride (V) provided the title disodium dicarboxylate salt.

参考文献No.7826
标题:Dihydropyridine derivs.
作者:Goldmann, S.; Ahr, H.-J.; Puls, W.; Bischoff, H.; Petzinna, D.; Schlossmann, K.; Bender, J. (Bayer AG)
来源:AU 8777695; DE 3629545; EP 0258729; JP 1988072674
合成路线图解说明:

The intermediate hydroxy lactone (IV) was prepared by two alternative procedures: Compound (II) was prepared by N-alkylation of the known dihydropyridine (I) with ethyl iodide in the presence of LDA (1). Bromination of the lithium derivative of (II) at -78 C followed by aqueous hydrolysis provided hydroxy lactone (IV). This intermediate was also prepared by basic treatment of formyl ester (III). Hydroxy lactone (IV) was oxidized to cyclic anhydride (V) by treatment with trifluoroacetic anhydride in DMSO. Then, basic hydrolysis of anhydride (V) provided the title disodium dicarboxylate salt.

Drug Information Express,Drug R&D,Chemical Database,Patent Search.
Copyright © 2006-2026 Drug Future. All rights reserved.Contact Us