【药物名称】
化学结构式(Chemical Structure):
参考文献No.592811
标题:4-Nitropyrazole derivatives as new exogenic donors of nitric oxide
作者:Makarov, V.; et al.
来源:16th Int Symp Med Chem (Sept 18 2000, Bologna) 2000,Abst PA-120
合成路线图解说明:

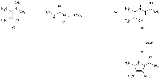
The condensation of nitroenamine (I) with aminoguanidine (II) afforded compound (III), which was subsequently cyclized to the title pyrazole by treatment with NaOH.

Drug Information Express,Drug R&D,Chemical Database,Patent Search.
Copyright © 2006-2026 Drug Future. All rights reserved.Contact Us