【药物名称】LY-404187
化学结构式(Chemical Structure):
参考文献No.37262
标题:Sulphonamide derivs.
作者:Arnold, M.B.; Bleakman, D.; Simon, R.L.; Cantrell, B.E.; Ornstein, P.L.; McKennon, T.E.; Tizzano, J.P.; Bleisch, T.J.; Zimmerman, D.M.; Baker, S.R.; Smith, E.; Zarrinmayeh, H.; Matsumoto, K.; Escribano, A.M. (Eli Lilly and Company)
来源:EP 0860428; WO 9833496
合成路线图解说明:

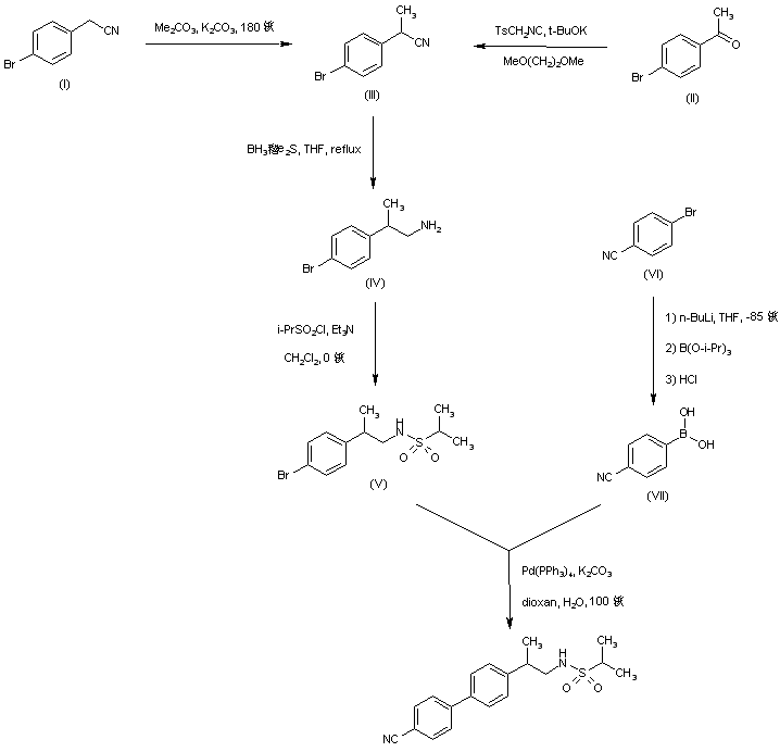
Methylation of (4-bromophenyl)acetonitrile (I) to afford 2-(4-bromophenyl)propionitrile (III) was carried out by heating with K2CO3 and dimethyl carbonate at 180 C in a sealed vessel. Alternatively, nitrile (III) was obtained by treatment of 4'-bromoacetophenone (II) with tosylmethyl isocyanide and potassium tert-butoxide. Nitrile (III) was reduced to amine (IV) using borane-dimethyl sulfide complex. Condensation of this amine with isopropylsulfonyl chloride furnished the corresponding sulfonamide (V). 4-Cyanophenylboronic acid (VII) was obtained by lithiation of 4-bromobenzonitrile (VI), followed by treatment with triisopropyl borate. Then, Suzuki coupling of boronic acid (VII) with bromide (V) furnished the title compound.

合成路线图解说明:

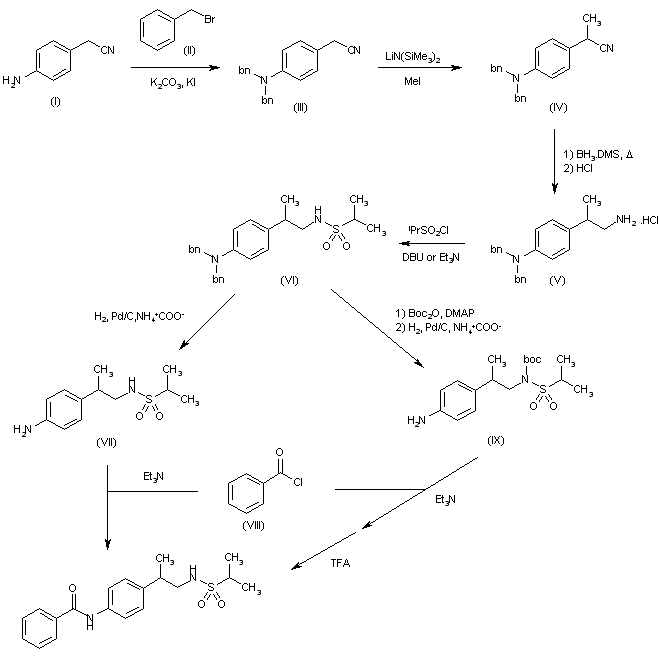
N-Protection of 4-aminophenylacetonitrile (I) with benzyl bromide (II) by means of K2CO3 and KI in DMF affords dibenzylamino derivative (III), which is then methylated by first treatment with lithium bis(trimethylsilyl)amide (LiN(SiMe3)2) followed by MeI in THF to provide propionitrile derivative (IV). Reduction of the cyano moiety of (IV) by means of borane methylsulfide (BH3.DMS) in refluxing THF, followed by treatment with HCl/MeOH in Et2O, yields propylamine hydrochloride (V), which is then allowed to react with isopropylsulfonyl chloride in CH2Cl2 in the presence of either DBU or Et3N to furnish isopropylsulfonamide derivative (VI). Hydrogenation of (VI) over Pd/C in EtOH in the presence of ammonium formate (NH4+COO-) allows benzyl removal to yield compound (VII), which is finally condensed with benzoyl chloride (VIII) by means of Et3N in CH2Cl2 to provide the target product. Alternatively, protection of the sulfonamide group of derivative (VI) can be performed by means of Boc2O and DMAP. Then hydrogenation of (VI) over Pd/C in EtOH in the presence of ammonium formate (NH4+COO-) allows benzyl removal, yielding compound (IX). Finally, condensation of (IX) with benzoyl chloride (VIII) by means of Et3N in CH2Cl2 followed by Boc removal by means of TFA in CH2Cl2 leads to the desired compound.

参考文献No.42140
标题:N-Substd. sulfonamide derivs.
作者:Ornstein, P.L.; Jones, W.D.; Zarrinmayeh, H.; Zimmerman, D.M.; Arnold, M.B. (Eli Lilly and Company)
来源:WO 0006537
合成路线图解说明:

Methylation of (4-bromophenyl)acetonitrile (I) to afford 2-(4-bromophenyl)propionitrile (III) was carried out by heating with K2CO3 and dimethyl carbonate at 180 C in a sealed vessel. Alternatively, nitrile (III) was obtained by treatment of 4'-bromoacetophenone (II) with tosylmethyl isocyanide and potassium tert-butoxide. Nitrile (III) was reduced to amine (IV) using borane-dimethyl sulfide complex. Condensation of this amine with isopropylsulfonyl chloride furnished the corresponding sulfonamide (V). 4-Cyanophenylboronic acid (VII) was obtained by lithiation of 4-bromobenzonitrile (VI), followed by treatment with triisopropyl borate. Then, Suzuki coupling of boronic acid (VII) with bromide (V) furnished the title compound.

合成路线图解说明:

N-Protection of 4-aminophenylacetonitrile (I) with benzyl bromide (II) by means of K2CO3 and KI in DMF affords dibenzylamino derivative (III), which is then methylated by first treatment with lithium bis(trimethylsilyl)amide (LiN(SiMe3)2) followed by MeI in THF to provide propionitrile derivative (IV). Reduction of the cyano moiety of (IV) by means of borane methylsulfide (BH3.DMS) in refluxing THF, followed by treatment with HCl/MeOH in Et2O, yields propylamine hydrochloride (V), which is then allowed to react with isopropylsulfonyl chloride in CH2Cl2 in the presence of either DBU or Et3N to furnish isopropylsulfonamide derivative (VI). Hydrogenation of (VI) over Pd/C in EtOH in the presence of ammonium formate (NH4+COO-) allows benzyl removal to yield compound (VII), which is finally condensed with benzoyl chloride (VIII) by means of Et3N in CH2Cl2 to provide the target product. Alternatively, protection of the sulfonamide group of derivative (VI) can be performed by means of Boc2O and DMAP. Then hydrogenation of (VI) over Pd/C in EtOH in the presence of ammonium formate (NH4+COO-) allows benzyl removal, yielding compound (IX). Finally, condensation of (IX) with benzoyl chloride (VIII) by means of Et3N in CH2Cl2 followed by Boc removal by means of TFA in CH2Cl2 leads to the desired compound.

参考文献No.600488
标题:Biarylpropylsulfonamides as novel, potent potentiators of 2-amino-3-(5-methyl-3-hydroxyisoxazol-4-yl)-propanoic acid (AMPA) receptors
作者:Ornstein, P.L.; Zimmerman, D.M.; Arnold, M.B.; Bleisch, T.J.; Cantrell, B.E.; Simon, R.; Zarrinmayeh, H.; Baker, S.R.; Gates, M.; Tizzano, J.P.; Bleakman, D.; Mandelzys, A.; Jarvie, K.R.; Ho, K.; Deverill, M.; Kambo, R.K.
来源:J Med Chem 2000,43(23),4354
合成路线图解说明:

Methylation of (4-bromophenyl)acetonitrile (I) to afford 2-(4-bromophenyl)propionitrile (III) was carried out by heating with K2CO3 and dimethyl carbonate at 180 C in a sealed vessel. Alternatively, nitrile (III) was obtained by treatment of 4'-bromoacetophenone (II) with tosylmethyl isocyanide and potassium tert-butoxide. Nitrile (III) was reduced to amine (IV) using borane-dimethyl sulfide complex. Condensation of this amine with isopropylsulfonyl chloride furnished the corresponding sulfonamide (V). 4-Cyanophenylboronic acid (VII) was obtained by lithiation of 4-bromobenzonitrile (VI), followed by treatment with triisopropyl borate. Then, Suzuki coupling of boronic acid (VII) with bromide (V) furnished the title compound.

Drug Information Express,Drug R&D,Chemical Database,Patent Search.
Copyright © 2006-2026 Drug Future. All rights reserved.Contact Us