【药物名称】Sunifiram, DM-235
化学结构式(Chemical Structure):
参考文献No.591935
标题:1,4-Diazabicyclo[4.3.0]nonan-9-ones and 1,4-diamidopiperazines as new classes of highly potent nootropic drugs
作者:Bellucci, C.; Ghelardini, C.; Dei, S.; Bartolini, A.; Galeotti, N.; Romanelli, M.N.; Gualtiere, F.; Manetti, D.; Scapecchi, S.; Teodori, E.
来源:16th Int Symp Med Chem (Sept 18 2000, Bologna) 2000,Abst PB-119
合成路线图解说明:

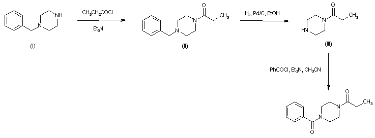
Acylation of N-benzylpiperazine (I) with propionyl chloride afforded amide (II). Hydrogenolysis of the N-benzyl protecting group of (II) over Pd/C then gave N-propionyl piperazine (III), which was finally condensed with benzoyl chloride to yield the title diamide.

参考文献No.596239
标题:Molecular simplification of 1,4-diazabicyclo[4.3.0]nonan-9-ones gives piperazine derivatives that maintain high nootropic activity
作者:Mannetti, D.; Ghelardini, C.; Bartolini, A.; Dei, S.; Galeotti, N.; Gualtiere, F.; Romanelli, M.N.; Teodori, E.
来源:J Med Chem 2000,43(23),4499
合成路线图解说明:

Acylation of N-benzylpiperazine (I) with propionyl chloride afforded amide (II). Hydrogenolysis of the N-benzyl protecting group of (II) over Pd/C then gave N-propionyl piperazine (III), which was finally condensed with benzoyl chloride to yield the title diamide.

Drug Information Express,Drug R&D,Chemical Database,Patent Search.
Copyright © 2006-2026 Drug Future. All rights reserved.Contact Us