【药物名称】S-34324
化学结构式(Chemical Structure):
参考文献No.43989
标题:Imidazoline derivs., preparation and pharmaceutical compsns. containing them
作者:Newman-Tancredi, A.; Lacoste, J.-M.; Millan, M.; Cordi, A.; Gobert, A. (ADIR et Cie.)
来源:EP 1010693; FR 2787451; JP 2000178255; US 6127396
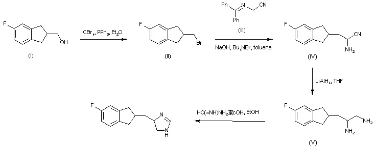
合成路线图解说明:

2-(Hydroxymethyl)-5-fluoroindane (I) was converted to bromide (II) upon treatment with CBr4 and PPh3. Alkylation of N-(diphenylmethylene)aminoacetonitrile (III) with bromide (II) under phase-transfer conditions furnished amino nitrile (V), which was reduced to diamine (VI) by using LiAlH4 in THF. Finally, condensation of diamine (V) with formamidine acetate yielded the target imidazoline.

参考文献No.606215
标题:Potential antidepressants displayed combined alpha2-adrenoceptor antagonist and monoamine uptake inhibitor properties
作者:Cordi, A.A.; Berque-Bestel, I.; Persigand, T.; Lacoste, J.-M.; Newman-Tancredi, A.; Audinot, V.; Millan, M.J.
来源:J Med Chem 2001,44(5),787
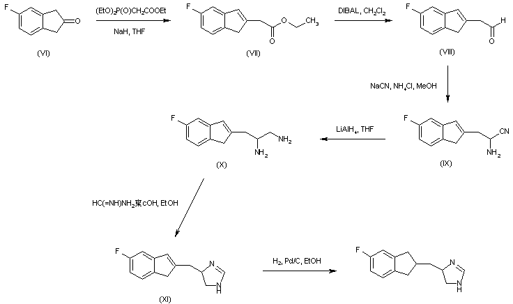
合成路线图解说明:

In an alternative procedure, Wadsworth-Emmons condensation of 5-fluoroindan-2-one (VI) with triethyl phosphonoacetate gave the indeneacetate (VII), which was reduced to aldehyde (VIII) employing diisobutylaluminum hydride. Strecker reaction of aldehyde (VIII) with NaCN and NH-4-Cl produced amino nitrile (IX). This was reduced to diamine (X) using LiAlH4, and then condensed with formamidine acetate to produce imidazoline (XI). Finally, catalytic hydrogenation of indene (XI) over Pd/C provided the title indane derivative.

Drug Information Express,Drug R&D,Chemical Database,Patent Search.
Copyright © 2006-2026 Drug Future. All rights reserved.Contact Us