【药物名称】BB-3497
化学结构式(Chemical Structure):
参考文献No.45632
标题:Antibacterial agents
作者:Spavold, Z.M.; Launchbury, S.; Clements, J.M.; Hunter, M.G.; Davies, S.J.; Pratt, L.M.; Beckett, R.P.; Whittaker, M. (British Biotech Pharmaceuticals Ltd.)
来源:WO 9939704
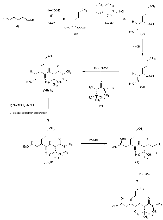
合成路线图解说明:

Claisen reaction between ethyl caproate (I) and ethyl formate (II) in the presence of NaOEt affords formyl derivative (III), which is then condensed with O-benzyl hydroxylamine hydrochloride (IV) by means of NaOAc in EtOH/H2O to yield derivative (V). Hydrolysis of the ethyl ester moiety of (V) by treatment with aqueous NaOH in MeOH provides carboxylic acid (VI), which is coupled to tert-leucine N,N-dimethylamide (VII) by means of EDC and HOAt to furnish compound (VIII). Reduction of the oxime moiety of (VIII) with NaCNBH3 in HOAc affords a mixture of diastereoisomers from which (R)-(IX) is separated by flash chromatography. Finally, treatment of (R)-(IX) with N-formyl-benzotriazole (HCOBt) in THF provides formamide (X), whose benzyl group is then removed by hydrogenation over Pd/C in MeOH.

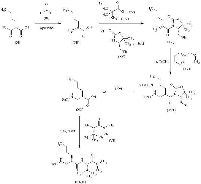
合成路线图解说明:

Alternatively, compound (R)-(IX) can be obtained as follows: treatment of butylmalonic acid (XI) with formaldehyde (XII) in ethanol in the presence of piperidine provides 2-butyl acrylic acid (XIII), which is converted into oxazolidinone derivative (XVI) by first reaction with pivaloyl chloride (XIV) and Et3N in THF followed by treatment with derivative (XV) and BuLi in THF. Oxazolidinone (XVI) is then enantioselectively condensed with O-benzylhydroxylamine (XVII) and treated with p-TsOH to afford a single diastereoisomer (XVIII), which is then hydrolyzed with LiOH in THF to yield (XIX). Finally, hexanoic acid (XIX) is coupled to tert-Leucine-N,N-dimethylamide (VII) by means of EDC and HOBt in DMF.

参考文献No.635120
标题:Asymmetric synthesis of BB-3497 - A potent peptide deformylase inhibitor
作者:Pratt, L.M.; Beckett, R.P.; Davies, S.J.; Launchbury, S.B.; Miller, A.; Spavold, Z.M.; Todd, R.S.; Whittaker, M.
来源:Bioorg Med Chem Lett 2001,11(19),2585
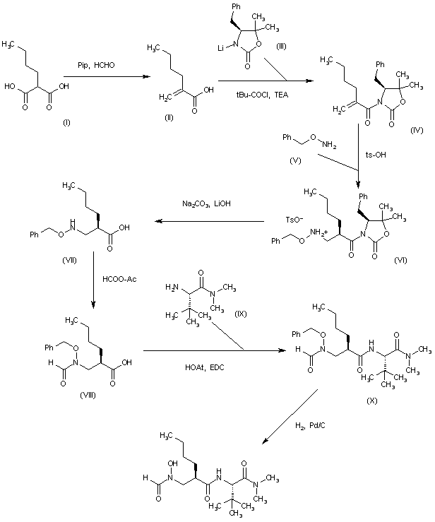
合成路线图解说明:

The reaction of 2-butylmalonic acid (I) with piperidine and formaldehyde in refluxing ethanol gives 2-methylenehexanoic acid (II), which is condensed with the chiral auxiliary oxazolidine lithium salt (III) by means of pivaloyl chloride and TEA to yield the oxazolidide (IV). The addition of O-benzylhydroxylamine (V) to (IV) by means of Ts-OH proceeds with great stereospecificity, affording tosylate (VI), which is submitted to cleavage of the chiral auxiliary with LiOH in aqueous THF to provide the carboxylic acid (VII). The formylation of the benzylhydroxylamine group of (VII) with HCOO-Ac in THF gives the formamide (VIII), which is condensed with L-tert-leucine dimethylamide (IX) by means of HOAt and EDC in DMF to yield the pseudo dipeptide (X). Finally, this compound is debenzylated by hydrogenation with H2 over Pd/C in ethanol.

Drug Information Express,Drug R&D,Chemical Database,Patent Search.
Copyright © 2006-2026 Drug Future. All rights reserved.Contact Us