【药物名称】SB-334867A
化学结构式(Chemical Structure):
参考文献No.41186
标题:Phenylurea and phenylthio urea derivs.
作者:Johns, A.; Porter, R.A. (SmithKline Beecham plc)
来源:EP 1075478; WO 9958533
合成路线图解说明:

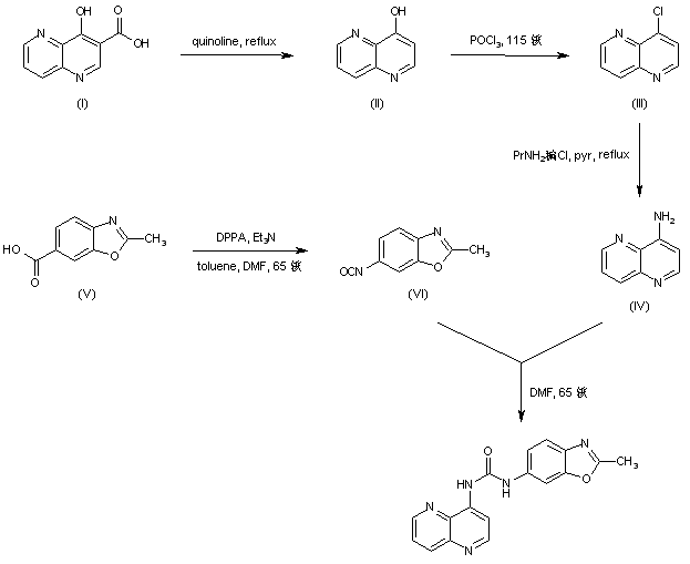
The known 4-hydroxy-1,5-naphthyridine-3-carboxylic acid (I) was decarboxylated to (II) upon refluxing in quinoline. Heating of (II) with POCl3 furnished 4-chloro-1,5-naphthyridine (III), which was converted to amine (IV) by reaction with n-propylamine in pyridine. Curtius rearrangement of 2-methyl-6-benzoxazolecarboxylic acid (V) in the presence of diphenylphosphoryl azide gave isocyanate (VI). Finally, coupling between isocyanate (VI) and amine (IV) provided the title urea.

参考文献No.631297
标题:1,3-Biarylureas as selective non-peptide antagonists of the orexin-1 receptor
作者:Porter, R.A.; Chan, W.N.; Coulton, S.; Johns, A.; Hadley, M.S.; Widdowson, K.; Jerman, J.C.; Brough, S.J.; Coldwell, M.C.; Smart, D.; Jewitt, F.; Jeffrey, P.; Austin, N.
来源:Bioorg Med Chem Lett 2001,11(14),1907
合成路线图解说明:

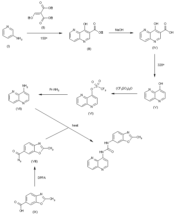
The cyclization of 3aminopyridine (I) with diethyl ethoxymethylenemalonate (II) in refluxing Dowtherm gives 4-hydroxy-1,5-naphthyridine-3-carboxylic acid ethyl ester (III), which is hydrolyzed with NaOH in refluxing water to yield the corresponding hydroxyacid (IV). The decarboxylation of (IV) by heating at 320 C in mineral oil affords 4-hydroxy-1,5-naphthyridine (V), which is acylated with trifluoromethanesulfonic anhydride to provide the triflate (VI). The reaction of (VI) with propylamine in pyridine affords 4-amino-1,5-naphthyridine (VII), which is condensed with 2-methylbenzoxazole-6-ylcarbonyl azide (VIII) (obtained by reaction of the corresponding acid (IX) with DPPA) in refluxing toluene to provide the target urea.

参考文献No.681584
标题:Synthesis of antimalarials. VI. Synthesis of certain 1,5- and 1,8-naphthyridine derivatives
作者:Adams, J.T.; et al.
来源:J Am Chem Soc 1946,681317
合成路线图解说明:

The cyclization of 3aminopyridine (I) with diethyl ethoxymethylenemalonate (II) in refluxing Dowtherm gives 4-hydroxy-1,5-naphthyridine-3-carboxylic acid ethyl ester (III), which is hydrolyzed with NaOH in refluxing water to yield the corresponding hydroxyacid (IV). The decarboxylation of (IV) by heating at 320 C in mineral oil affords 4-hydroxy-1,5-naphthyridine (V), which is acylated with trifluoromethanesulfonic anhydride to provide the triflate (VI). The reaction of (VI) with propylamine in pyridine affords 4-amino-1,5-naphthyridine (VII), which is condensed with 2-methylbenzoxazole-6-ylcarbonyl azide (VIII) (obtained by reaction of the corresponding acid (IX) with DPPA) in refluxing toluene to provide the target urea.

Drug Information Express,Drug R&D,Chemical Database,Patent Search.
Copyright © 2006-2026 Drug Future. All rights reserved.Contact Us