【药物名称】AMD-7049(free base), AMD-8664
化学结构式(Chemical Structure):
参考文献No.41836
标题:Antiviral macrocyclic cpds.
作者:Bogucki, D.E.; Boehringer, E.M.; Wang, Z.; Bridger, G.J.; Schols, D.; Skerlj, R.T. (AnorMED Inc.)
来源:EP 1095031; WO 0002870
合成路线图解说明:

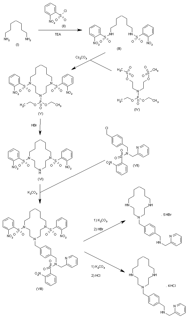
The acylation of 1,7-heptanediamine (I) with 2-nitrobenzenesulfonyl chloride (II) by means of TEA in dichloromethane gives the bis sulfamide (III), which is submitted to macrocyclization with the dimesylate (IV) by means of Cs2CO3 in hot DMF, yielding the protected 1,4,7-triazacyclotetradecane (V). The cleavage of the phosphoryl group of (IV) with HBr in acetic acid affords the secondary amine (VI), which is alkylated with he benzyl chloride (VII) by means of K2CO3 in refluxing acetonitrile, providing the adduct (VIII). This compound is deprotected with K2CO3 in DMF and treated with HCl or HBr to furnish the corresponding target salts.

合成路线图解说明:

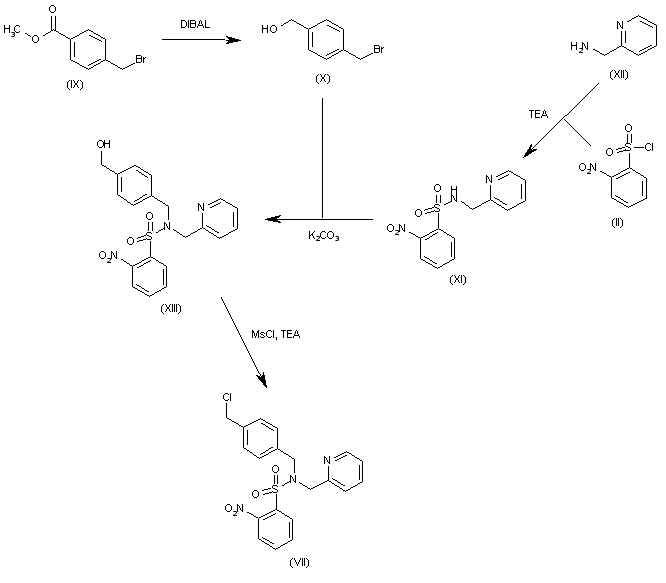
The intermediate benzyl chloride (VII) is obtained as follows: The reduction of 4-(bromomethyl)benzoic acid methyl ester (IX) with DIBAL in dichloromethane gives 4-(bromomethyl)benzyl alcohol (X), which is condensed with sulfamide (XI) (obtained by sulfonation of 2-(aminomethyl)pyridine (XII) with sulfonyl chloride (II) and TEA), by means of K2CO3 in dichloromethane, yielding the disubstituted sulfamide (XIII). Finally, the hydroxymethyl group of (XIII) is treated with MsCl and TEA in refluxing dichloromethane to afford the target benzyl chloride (VII).

参考文献No.591660
标题:An orally bioavailable CXCR4 antagonist for inhibition of HIV replication
作者:De Clercq, E.; HEnson, G.; Schols, D.; Witvrouw, M.; Macfarland, R.T.; Bridger, G.J.; Skerli, R.T.; Yasuda, N.
来源:40th Intersci Conf Antimicrob Agents Chemother (Sept 17 2000, Toronto) 2000,Abst F-1845
合成路线图解说明:

The acylation of 1,7-heptanediamine (I) with 2-nitrobenzenesulfonyl chloride (II) by means of TEA in dichloromethane gives the bis sulfamide (III), which is submitted to macrocyclization with the dimesylate (IV) by means of Cs2CO3 in hot DMF, yielding the protected 1,4,7-triazacyclotetradecane (V). The cleavage of the phosphoryl group of (IV) with HBr in acetic acid affords the secondary amine (VI), which is alkylated with he benzyl chloride (VII) by means of K2CO3 in refluxing acetonitrile, providing the adduct (VIII). This compound is deprotected with K2CO3 in DMF and treated with HCl or HBr to furnish the corresponding target salts.

Drug Information Express,Drug R&D,Chemical Database,Patent Search.
Copyright © 2006-2026 Drug Future. All rights reserved.Contact Us