【药物名称】AP-5280
化学结构式(Chemical Structure):
参考文献No.55380
标题:Polymer-platinum cpds.
作者:Duncan, R.; Evagorou, E.G.; Buckley, R.G.; Gianasi, E. (Access Pharmaceuticals, Inc.)
来源:WO 9847537
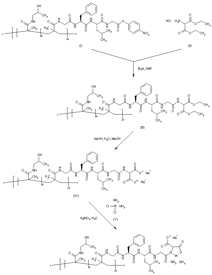
合成路线图解说明:

The known N-(2-hydroxypropyl)-methacrylamide copolymer (I) which has a p-nitrophenyl peptide side chain is coupled to ethyl aminomalonate (II) in the presence of Et3N in DMF to give the corresponding amide (III). Alkaline hydrolysis of the diethyl malonate ester groups of (III) affords the sodium carboxylate salt (IV). This is then complexed with the platinum species, generated in situ from cisplatin (V) and silver nitrate, to produce the title polymer-linked platinum complex.

Drug Information Express,Drug R&D,Chemical Database,Patent Search.
Copyright © 2006-2026 Drug Future. All rights reserved.Contact Us