【药物名称】CS-758, R-120758
化学结构式(Chemical Structure):
参考文献No.31295
标题:Triazole antifungal agent
作者:Oida, S.; Tanaka, T.; Tajima, Y.; Konosu, T.; Somada, A.; Miyaoka, T.; Yasuda, H. (Sankyo Co., Ltd.)
来源:EP 0841327; JP 1996333350; US 5977152; WO 9631491
合成路线图解说明:

4-Hydroxybenzaldehyde (I) was alkylated with 2,2,3,3-tetrafluoropropyl tosylate (A) to give ether (II). Subsequent Horner-Emmons condensation of (II) with triethyl phosphonocrotonate (III) provided dienoate (IV), that was further reduced to alcohol (V) by means of DIBAL. Oxidation of (V) with activated MnO2 then gave aldehyde (VI).

合成路线图解说明:

Displacement of tosylate (VII) with sodium thioacetate afforded thioester (VIII) (1). Hydrolysis of the thioester (VIII) in the presence of NaOMe, followed by condensation of the intermediate thiol with the chiral epoxide (IX) furnished the mercapto alcohol (X). Hydrolysis of the cyclic acetal of (X) in methanolic HCl gave triol (XI). This was finally condensed with aldehyde (VI) in the presence of p-TsOH and molecular sieves to yield the title compound.

合成路线图解说明:

Addition of the thiol liberated from thioester (VII) in the presence of NaOMe to the chiral epoxide (VIII) afforded thioether (IX). Acid hydrolysis of the acetal function of (IX) yielded diol (X). Then, acetalization of diol (IX) with aldehyde (XI) furnished the title compound.

参考文献No.48234
标题:Triazole derivs. having antifungal activity
作者:Mori, M.; Oida, S.; Konosu, T.; Uchida, T.; Ohya, S.; Nakagawa, A. (Sankyo Co., Ltd.)
来源:EP 1083175; JP 2001348384; JP 2002114782; US 6337403; US 6391903
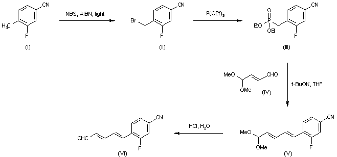
合成路线图解说明:

Benzylic bromination of 3-fluoro-4-methylbenzaldehyde (I) using N-bromosuccinimide afforded bromide (II), which was converted to phosphonate (III) by reaction with triethyl phosphite. Horner-Emmons condensation of phosphonate (III) with monoprotected fumaraldehyde (IV) produced the diene acetal (V), which was then hydrolyzed to aldehyde (VI) with aqueous HCl.

参考文献No.56314
标题:Triazole antifungal agents
作者:Mori, M.; Oida, S.; Uchida, T.; Nakagawa, A.; Kounosu, T.; Ohya, T. (Sankyo Co., Ltd.)
来源:JP 2002161035
合成路线图解说明:

Benzylic bromination of 3-fluoro-4-methylbenzaldehyde (I) using N-bromosuccinimide afforded bromide (II), which was converted to phosphonate (III) by reaction with triethyl phosphite. Horner-Emmons condensation of phosphonate (III) with monoprotected fumaraldehyde (IV) produced the diene acetal (V), which was then hydrolyzed to aldehyde (VI) with aqueous HCl.

合成路线图解说明:

Addition of the thiol liberated from thioester (VII) in the presence of NaOMe to the chiral epoxide (VIII) afforded thioether (IX). Acid hydrolysis of the acetal function of (IX) yielded diol (X). Then, acetalization of diol (IX) with aldehyde (XI) furnished the title compound.

参考文献No.579419
标题:Synthesis and antifungal activities of R-102557 and related dioxane-triazole derivatives
作者:Oida, S.; Tajima, Y.; Konosu, T.; nakamura, Y.; Somada, A.; Tanaka, T.; Habuki, S.; Harasaki, T.; Kamai, Y.; Fukuoka, T.; Ohya, S.; Yasuda, H.
来源:Chem Pharm Bull 2000,48(5),694
合成路线图解说明:

4-Hydroxybenzaldehyde (I) was alkylated with 2,2,3,3-tetrafluoropropyl tosylate (A) to give ether (II). Subsequent Horner-Emmons condensation of (II) with triethyl phosphonocrotonate (III) provided dienoate (IV), that was further reduced to alcohol (V) by means of DIBAL. Oxidation of (V) with activated MnO2 then gave aldehyde (VI).

合成路线图解说明:

Displacement of tosylate (VII) with sodium thioacetate afforded thioester (VIII) (1). Hydrolysis of the thioester (VIII) in the presence of NaOMe, followed by condensation of the intermediate thiol with the chiral epoxide (IX) furnished the mercapto alcohol (X). Hydrolysis of the cyclic acetal of (X) in methanolic HCl gave triol (XI). This was finally condensed with aldehyde (VI) in the presence of p-TsOH and molecular sieves to yield the title compound.

合成路线图解说明:

Addition of the thiol liberated from thioester (VII) in the presence of NaOMe to the chiral epoxide (VIII) afforded thioether (IX). Acid hydrolysis of the acetal function of (IX) yielded diol (X). Then, acetalization of diol (IX) with aldehyde (XI) furnished the title compound.

参考文献No.591575
标题:R-120758, a novel triazole antifungal agent: Synthesis and structure-activity relationship
作者:Oida, S.; Mori, M.; nakamura, Y.; Habuki, S.; Kuwahara, S.; Somada, A.; Harada, Y.; Uchida, T.; Konosu, T.
来源:40th Intersci Conf Antimicrob Agents Chemother (Sept 17 2000, Toronto) 2000,Abst F-1087
合成路线图解说明:

Benzylic bromination of 3-fluoro-4-methylbenzaldehyde (I) using N-bromosuccinimide afforded bromide (II), which was converted to phosphonate (III) by reaction with triethyl phosphite. Horner-Emmons condensation of phosphonate (III) with monoprotected fumaraldehyde (IV) produced the diene acetal (V), which was then hydrolyzed to aldehyde (VI) with aqueous HCl.

合成路线图解说明:

Addition of the thiol liberated from thioester (VII) in the presence of NaOMe to the chiral epoxide (VIII) afforded thioether (IX). Acid hydrolysis of the acetal function of (IX) yielded diol (X). Then, acetalization of diol (IX) with aldehyde (XI) furnished the title compound.

参考文献No.604930
标题:Triazole antifungals. III. Stereocontrolled synthesis of an optically active triazolylmethyloxirane precursor to antifungal oxazolodine derivatives
作者:Konos, T.; Miyaoka, T.; Tajima, Y.; Oida, S.
来源:Chem Pharm Bull 1991,39(9),2241
合成路线图解说明:

ER-30346 is synthesized by thiazole ring formation of (2R,3R)-3-(2,4-difluorophenyl)-3-hydroxy-2-methyl-4-(1H-1,2,4-triazol-1-yl)thiobutanamide (I) and 4-bromoacetylbenzonitrile (II) by means of reflux in methanol. The thioamide (I) is obtained with excellent yield from a chiral nitrile (III) by heating with diethyl dithiophosphate in aqueous medium.

合成路线图解说明:

The nitrile (III), a chiral key intermediate of this synthesis, can be obtained by two different synthetic routes as follows: Route-a: The key step of this route is ring opening reaction of the trisubstituted oxirane (VII) by cyanide anion leading to the nitrile (III). The chiral oxirane (VII) is synthesized from (R)-lactic acid derivatives as already reported. The reaction of (VII) with diethylaluminum cyanide in toluene or lithium cyanide in tetrahydrofuran gives the nitrile (III) with high yield without any epimerization reaction.

合成路线图解说明:

The nitrile (III), a chiral key intermediate of this synthesis, can be obtained by two different synthetic routes as follows: Route-b: The starting material of this route is methyl (S)-3-hydroxy-2-methylpropionate (VIII), which contains one additional carbon between the hydroxyl group and the 2-position carbon of (R)-lactate, the starting material of route-a. The hydroxyl group of (VIII) is protected by triphenylmethyl group. Then, 2,4-difluorophenyl moiety is introduced to give the ketone (X). Direct conversion of the ketone (X) to the oxirane (XIV) by dimethylsulfoxonium methylide, the same condition for compound (IV) in route-a, does not proceed. The oxirane (XIV) having desired stereochemistry is obtained via oxidation reaction. The ketone (X) is converted to the exomethylene (XI) by Wittig reaction. The stereoselective oxidation of (XI) is achieved by means of osmium tetroxide in the presence of 4-methylmorpholine N-oxide to give the diol (XII) in 58% yield after separation of its epimer by column chromatography. After methanesulfonylation of the primary alcohol of (XII), a triazole moiety is introduced and the triphenylmethyl group is deprotected. Then, the primary hydroxyl group of (XVI) is oxidized under Swern oxidation condition to give the aldehyde (XVII), which is converted to the chiral nitrile intermediate (III) by means of heating with hydroxylamine-O-sulfonic acid.

合成路线图解说明:

The known chiral epoxide (IX) can be synthesized by several different ways shown in the following: 1) 2(S)-Acetoxypropionic acid (XII) is treated first with oxalyl chloride in DMF/CH2Cl2, and then the resultant acyl chloride is submitted to a Friedel-Crafts reaction with 1,3-difluorobenzene (XIII) by means of AlCl3 to provide a 1:1 mixture of a(S)-acetoxypropiophenone (XIV) and a(S)-hydroxy-propiophenone (XV). This mixture is treated with H2SO4 in MeOH to give the pure alcohol (XV). Tosylation of alcohol (XV) with p-toluenesulfonyl chloride in pyridine furnishes tosylate (XVI), which is converted into a(R)-hydroxypropiophenone (XVII) by an SN2 displacement reaction with LiOH in DMF/H2O. Reaction of the hydroxy group of (XVII) with 2,3-dihydropyran (XVIII) and pyridi-nium p-toluenesulfonate (PPTS) in CH2Cl2 gives the protected compound (XIX), which is converted into the silyl alcohol (XXI) by a Grignard reaction with (chloro-methyl)dimethylisopropoxysilane (XX) in the presence of Mg and a small amount of MeI. Oxidative desilylation of (XXI) by means of NaHCO3 and H2O2 in THF/MeOH, followed by hydrolysis with TsOH in MeOH, affords the triol (XXII), which is then mesylated with methanesulfonyl chloride in pyridine to provide the dimesylate (XXIII). Finally, nucleofilic substitution of one mesylate group of (XXIII) with 1H-1,2,4-triazole (XXIV) by means of NaH in DMF with concomitant epoxide formation affords the desired intermediate (IX).

合成路线图解说明:

2) Propiophenone derivative (XXV) - prepared according to a procedure similar to that described for compound (XIX) - is subjected to a Grignard reaction with (chloromethyl)trimethylsilane (XXVI) and Mg in ether to give the silyl alcohol (XXVII), which by treatment with p-toluenesulfonic acid in MeOH undergoes b-elimination and deprotection to yield the allylic alcohol (XXVIII). Epoxidation of (XXVIII) with tert-butyl hydroperoxide and catalytic oxyvanadium acetylacetonate gives the epoxy-alcohol (XXIX), which is subjected to a Mitsunobu reaction with benzoic acid (XXX) by means of DEAD and PPh3 in THF to provide benzoate (XXXI). Solvolysis of compound (XXXI) in MeOH with catalytic NaOMe yields the epoxyalcohol (XXXII), which is mesylated with methanesulfonyl chloride and triethylamine in CH2Cl2 to afford the protected alcohol (XXXIII). Finally, treatment of compound (XXXIII) with 1H-1,2,4-triazole (XXIV) and NaH in DMF affords the desired intermediate (IX).

参考文献No.648636
标题:Synthesis and in vitro antifungal activities of novel triazole antifungal agent CS-758
作者:Konosu, T.; Oida, S.; Nakamura, Y.; Seki, S.; Uchida, T.; Somada, A.; Mori, M.; Harada, Y.; Kamai, Y.; Harasaki, T.; Fukuoka, T.; Ohya, S.; Yasuda, H.; Shibayama, T.; Inoue, S.; Nakagawa, A.; Seta, Y.
来源:Chem Pharm Bull 2001,49(12),1647
合成路线图解说明:

Benzylic bromination of 3-fluoro-4-methylbenzaldehyde (I) using N-bromosuccinimide afforded bromide (II), which was converted to phosphonate (III) by reaction with triethyl phosphite. Horner-Emmons condensation of phosphonate (III) with monoprotected fumaraldehyde (IV) produced the diene acetal (V), which was then hydrolyzed to aldehyde (VI) with aqueous HCl.

合成路线图解说明:

Addition of the thiol liberated from thioester (VII) in the presence of NaOMe to the chiral epoxide (VIII) afforded thioether (IX). Acid hydrolysis of the acetal function of (IX) yielded diol (X). Then, acetalization of diol (IX) with aldehyde (XI) furnished the title compound.

参考文献No.723041
标题:CS-758
作者:Sorbera, L.A.; del Fresno, M.; Rabasseda, X.
来源:Drugs Fut 2003,28(3),217
合成路线图解说明:

Benzylic bromination of 3-fluoro-4-methylbenzaldehyde (I) using N-bromosuccinimide afforded bromide (II), which was converted to phosphonate (III) by reaction with triethyl phosphite. Horner-Emmons condensation of phosphonate (III) with monoprotected fumaraldehyde (IV) produced the diene acetal (V), which was then hydrolyzed to aldehyde (VI) with aqueous HCl.

合成路线图解说明:

Addition of the thiol liberated from thioester (VII) in the presence of NaOMe to the chiral epoxide (VIII) afforded thioether (IX). Acid hydrolysis of the acetal function of (IX) yielded diol (X). Then, acetalization of diol (IX) with aldehyde (XI) furnished the title compound.

合成路线图解说明:

The known chiral epoxide (IX) can be synthesized by several different ways shown in the following: 1) 2(S)-Acetoxypropionic acid (XII) is treated first with oxalyl chloride in DMF/CH2Cl2, and then the resultant acyl chloride is submitted to a Friedel-Crafts reaction with 1,3-difluorobenzene (XIII) by means of AlCl3 to provide a 1:1 mixture of a(S)-acetoxypropiophenone (XIV) and a(S)-hydroxy-propiophenone (XV). This mixture is treated with H2SO4 in MeOH to give the pure alcohol (XV). Tosylation of alcohol (XV) with p-toluenesulfonyl chloride in pyridine furnishes tosylate (XVI), which is converted into a(R)-hydroxypropiophenone (XVII) by an SN2 displacement reaction with LiOH in DMF/H2O. Reaction of the hydroxy group of (XVII) with 2,3-dihydropyran (XVIII) and pyridi-nium p-toluenesulfonate (PPTS) in CH2Cl2 gives the protected compound (XIX), which is converted into the silyl alcohol (XXI) by a Grignard reaction with (chloro-methyl)dimethylisopropoxysilane (XX) in the presence of Mg and a small amount of MeI. Oxidative desilylation of (XXI) by means of NaHCO3 and H2O2 in THF/MeOH, followed by hydrolysis with TsOH in MeOH, affords the triol (XXII), which is then mesylated with methanesulfonyl chloride in pyridine to provide the dimesylate (XXIII). Finally, nucleofilic substitution of one mesylate group of (XXIII) with 1H-1,2,4-triazole (XXIV) by means of NaH in DMF with concomitant epoxide formation affords the desired intermediate (IX).

合成路线图解说明:

2) Propiophenone derivative (XXV) - prepared according to a procedure similar to that described for compound (XIX) - is subjected to a Grignard reaction with (chloromethyl)trimethylsilane (XXVI) and Mg in ether to give the silyl alcohol (XXVII), which by treatment with p-toluenesulfonic acid in MeOH undergoes b-elimination and deprotection to yield the allylic alcohol (XXVIII). Epoxidation of (XXVIII) with tert-butyl hydroperoxide and catalytic oxyvanadium acetylacetonate gives the epoxy-alcohol (XXIX), which is subjected to a Mitsunobu reaction with benzoic acid (XXX) by means of DEAD and PPh3 in THF to provide benzoate (XXXI). Solvolysis of compound (XXXI) in MeOH with catalytic NaOMe yields the epoxyalcohol (XXXII), which is mesylated with methanesulfonyl chloride and triethylamine in CH2Cl2 to afford the protected alcohol (XXXIII). Finally, treatment of compound (XXXIII) with 1H-1,2,4-triazole (XXIV) and NaH in DMF affords the desired intermediate (IX).

Drug Information Express,Drug R&D,Chemical Database,Patent Search.
Copyright © 2006-2026 Drug Future. All rights reserved.Contact Us