【药物名称】TAK-456
化学结构式(Chemical Structure):
参考文献No.30788
标题:Azole cpds., their production and use
作者:Itoh, K.; Okonogi, K.; Tasaka, A. (Takeda Chemical Industries, Ltd.)
来源:EP 0809640; JP 1997183769; WO 9625410
合成路线图解说明:

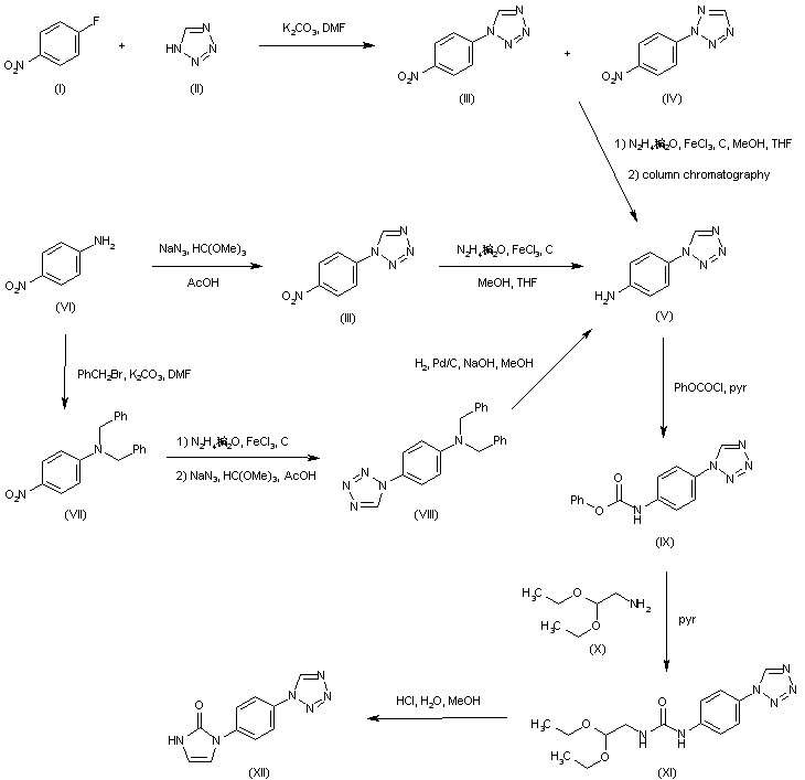
The condensation between 4-fluoronitrobenzene (I) and tetrazole (II) provided a mixture of regioisomeric (4-nitrophenyl)tetrazoles (III) and (IV). Reduction of this mixture employing hydrazine and FeCl3 gave the corresponding mixture of amino derivatives from which the required isomer (V) was isolated by column chromatography. Alternatively, 4-nitroaniline (VI) was converted into the desired (4-nitrophenyl)tetrazole regioisomer (III) by reaction with sodium azide and trimethyl orthoformate in HOAc. Subsequent reduction of the nitro group of (III) employing hydrazine and FeCl3 gave aniline (V). This compound was also obtained by another alternative procedure consisting in protection of 4-nitroaniline (VI) as the N,N-dibenzyl amine (VII), followed by reduction of the nitro group and cyclization with NaN3 and trimethyl orthoformate to afford tetrazole (VIII). Further hydrogenolysis of the benzyl protecting groups of (VIII) yielded 1-(4-aminophenyl)tetrazole (V). Aniline (V) was then converted to the intermediate phenyl carbamate (IX) by treatment with phenyl chloroformate in pyridine. Optionally, the intermediate phenyl carbamate (IX) was converted into the aryl imidazolone (XII) by condensation with 2,2-diethoxyethylamine (X) and then acid-catalyzed cyclization of the resulting N-(2,2-diethoxyethyl)urea (XI) to give (XII).

合成路线图解说明:

The chiral epoxy alcohol (XIII), prepared from methyl (R)-lactate, was converted to triflate (XIV) by treatment with trifluoromethanesulfonic anhydride in the presence of diisopropylethylamine. Condensation of triflate (XIV) with the sodium salt of imidazolone (XII) afforded (XV). Subsequent oxirane ring opening with 1,2,4-triazole (XVI) in the presence of NaH gave the triazolyl alcohol (XVII). The title imidazolidinone was then obtained by catalytic hydrogenation of imidazolone (XVII).

合成路线图解说明:

The preparation of the epoxide precursor (XV) can also be carried out by an alternative route starting from the chiral hydroxypropiophenone (XVIII), obtained from ethyl (S)-lactate. Hydroxy ketone (XVIII) was converted to triflate (XIX), which was condensed with the sodium salt of imidazolone (XII), yielding adduct (XX). Addition of (dimethylisopropoxysilyl)methylmagnesium chloride to the propiophenone (XX) furnished carbinol (XIX). Oxidative desilylation of (XIX) with H2O2 in the presence of NaHCO3 afforded diol (XXII). This was converted to the corresponding mesylate (XXIII) and then cyclized to oxirane (XV) in the presence of K2CO3.

参考文献No.45731
标题:Triazole derivs. and their production
作者:Kitazaki, T.; Matsushita, Y.; Hosono, H.; Itoh, K.; Mitsudera, H. (Takeda Chemical Industries, Ltd.)
来源:EP 0884311
合成路线图解说明:

The condensation between 4-fluoronitrobenzene (I) and tetrazole (II) provided a mixture of regioisomeric (4-nitrophenyl)tetrazoles (III) and (IV). Reduction of this mixture employing hydrazine and FeCl3 gave the corresponding mixture of amino derivatives from which the required isomer (V) was isolated by column chromatography. Alternatively, 4-nitroaniline (VI) was converted into the desired (4-nitrophenyl)tetrazole regioisomer (III) by reaction with sodium azide and trimethyl orthoformate in HOAc. Subsequent reduction of the nitro group of (III) employing hydrazine and FeCl3 gave aniline (V). This compound was also obtained by another alternative procedure consisting in protection of 4-nitroaniline (VI) as the N,N-dibenzyl amine (VII), followed by reduction of the nitro group and cyclization with NaN3 and trimethyl orthoformate to afford tetrazole (VIII). Further hydrogenolysis of the benzyl protecting groups of (VIII) yielded 1-(4-aminophenyl)tetrazole (V). Aniline (V) was then converted to the intermediate phenyl carbamate (IX) by treatment with phenyl chloroformate in pyridine. Optionally, the intermediate phenyl carbamate (IX) was converted into the aryl imidazolone (XII) by condensation with 2,2-diethoxyethylamine (X) and then acid-catalyzed cyclization of the resulting N-(2,2-diethoxyethyl)urea (XI) to give (XII).

合成路线图解说明:

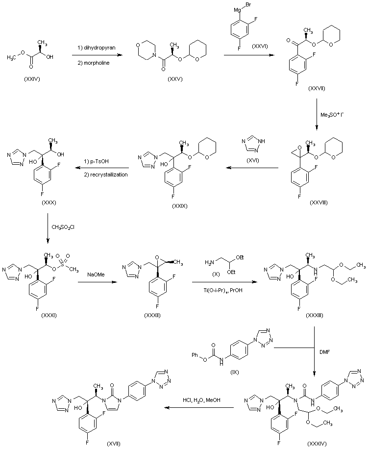
In a related procedure, protection of methyl (R)-lactate (XXIV) as the corresponding tetrahydropyranyl ether, followed by treatment with morpholine, gave amide (XXV). Subsequent addition of 2,4-difluorophenylmagnesium bromide (XXVI) to (XXV) afforded propiophenone (XXVII), which was converted into epoxide (XXVIII) by reaction with the ylide resulting from trimethylsulfoxonium iodide. Epoxide ring opening with 1,2,4-triazole (XVI) produced the triazolyl alcohol (XXIX). After acid cleavage of the tetrahydropyranyl protecting group of (XXIX), recrystallization of the diastereomeric mixture provided diol (XXX). Mesylation of the secondary hydroxyl group of (XXX), followed by basic cyclization of the resulting hydroxy mesylate (XXXI), produced epoxide (XXXII). Epoxide (XXXII) was reacted with 2,2-diethoxyethylamine (X) in the presence of Ti(iPrO)4 to give the amino alcohol (XXXIII). Condensation of amine (XXXIII) with carbamate (IX) generated urea (XXXIV), which was then cyclized to imidazolone (XVII) in the presence of HCl. This was finally converted to the title imidazolidinone by catalytic hydrogenation as above.

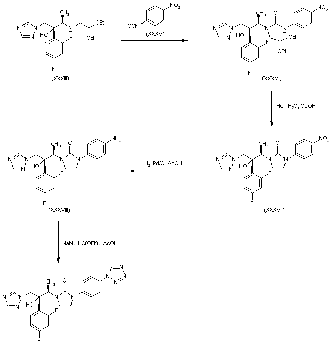
合成路线图解说明:

The title compound was also obtained by an alternative route consisting in the condensation of amino alcohol (XXXIII) with 4-nitrophenyl isocyanate (XXXV) to give urea (XXXVI), which was then cyclized to imidazolone (XXXVII). Simultaneous reduction of the nitro group and the imidazolone double bond of (XXXVII) by catalytic hydrogenation on Pd/C afforded (XXXVIII). Finally, the tetrazole ring of the target compound was constructed by reaction of aniline (XXXVIII) with NaN3 and trimethyl orthoformate.

合成路线图解说明:

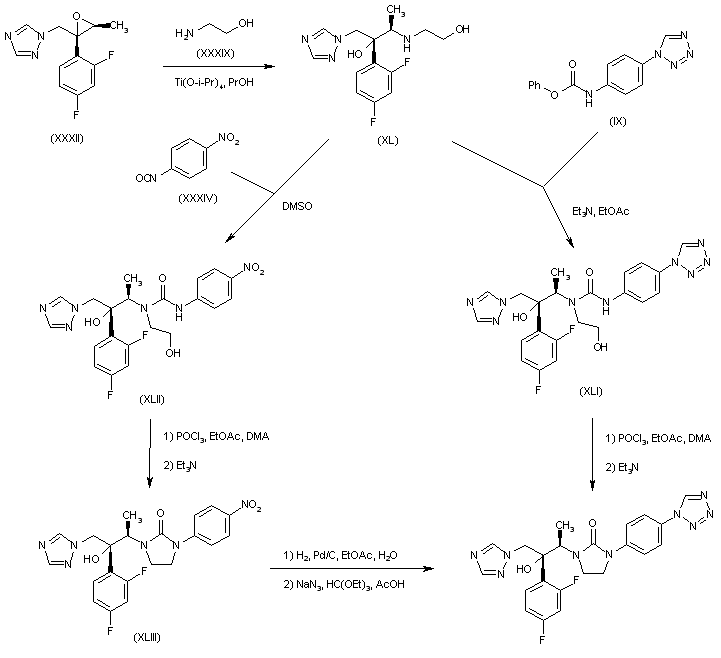
In a further procedure, epoxide (XXXII) was condensed with ethanolamine (XXXIX) to afford amino diol (XL). Coupling of (XL) with carbamate (IX) produced the N-(hydroxyethyl)urea (XLI). Chlorination of the primary hydroxyl group of (XLI) with POCl3, followed by cyclization in the presence of Et3N, gave rise to the title imidazolidinone. Alternatively, amino diol (XL) was coupled with 4-nitrophenyl isocyanate (XXXV) to give urea (XLII). Chlorination of (XLII), followed by cyclization in the presence of Et3N, produced imidazolidinone (XLIII). The tetrazolyl group of the target compound was then introduced by catalytic hydrogenation of the nitro group of (XLIII), followed by treatment with NaN3 and triethyl orthoformate.

参考文献No.591573
标题:TAK-456 and the water-soluble prodrug TAK-457, new antifungal triazoles: Synthesis and in vitro antifungal activity
作者:Ichikawa, T.; Matsushita, Y.; Yamada, M.; Tasaka, A.; Yamaguchi, M.; Itoh, K.; Okonogi, K.; Kitazaki, T.
来源:40th Intersci Conf Antimicrob Agents Chemother (Sept 17 2000, Toronto) 2000,Abst F-1085
合成路线图解说明:

The condensation between 4-fluoronitrobenzene (I) and tetrazole (II) provided a mixture of regioisomeric (4-nitrophenyl)tetrazoles (III) and (IV). Reduction of this mixture employing hydrazine and FeCl3 gave the corresponding mixture of amino derivatives from which the required isomer (V) was isolated by column chromatography. Alternatively, 4-nitroaniline (VI) was converted into the desired (4-nitrophenyl)tetrazole regioisomer (III) by reaction with sodium azide and trimethyl orthoformate in HOAc. Subsequent reduction of the nitro group of (III) employing hydrazine and FeCl3 gave aniline (V). This compound was also obtained by another alternative procedure consisting in protection of 4-nitroaniline (VI) as the N,N-dibenzyl amine (VII), followed by reduction of the nitro group and cyclization with NaN3 and trimethyl orthoformate to afford tetrazole (VIII). Further hydrogenolysis of the benzyl protecting groups of (VIII) yielded 1-(4-aminophenyl)tetrazole (V). Aniline (V) was then converted to the intermediate phenyl carbamate (IX) by treatment with phenyl chloroformate in pyridine. Optionally, the intermediate phenyl carbamate (IX) was converted into the aryl imidazolone (XII) by condensation with 2,2-diethoxyethylamine (X) and then acid-catalyzed cyclization of the resulting N-(2,2-diethoxyethyl)urea (XI) to give (XII).

合成路线图解说明:

In a related procedure, protection of methyl (R)-lactate (XXIV) as the corresponding tetrahydropyranyl ether, followed by treatment with morpholine, gave amide (XXV). Subsequent addition of 2,4-difluorophenylmagnesium bromide (XXVI) to (XXV) afforded propiophenone (XXVII), which was converted into epoxide (XXVIII) by reaction with the ylide resulting from trimethylsulfoxonium iodide. Epoxide ring opening with 1,2,4-triazole (XVI) produced the triazolyl alcohol (XXIX). After acid cleavage of the tetrahydropyranyl protecting group of (XXIX), recrystallization of the diastereomeric mixture provided diol (XXX). Mesylation of the secondary hydroxyl group of (XXX), followed by basic cyclization of the resulting hydroxy mesylate (XXXI), produced epoxide (XXXII). Epoxide (XXXII) was reacted with 2,2-diethoxyethylamine (X) in the presence of Ti(iPrO)4 to give the amino alcohol (XXXIII). Condensation of amine (XXXIII) with carbamate (IX) generated urea (XXXIV), which was then cyclized to imidazolone (XVII) in the presence of HCl. This was finally converted to the title imidazolidinone by catalytic hydrogenation as above.

合成路线图解说明:

In a further procedure, epoxide (XXXII) was condensed with ethanolamine (XXXIX) to afford amino diol (XL). Coupling of (XL) with carbamate (IX) produced the N-(hydroxyethyl)urea (XLI). Chlorination of the primary hydroxyl group of (XLI) with POCl3, followed by cyclization in the presence of Et3N, gave rise to the title imidazolidinone. Alternatively, amino diol (XL) was coupled with 4-nitrophenyl isocyanate (XXXV) to give urea (XLII). Chlorination of (XLII), followed by cyclization in the presence of Et3N, produced imidazolidinone (XLIII). The tetrazolyl group of the target compound was then introduced by catalytic hydrogenation of the nitro group of (XLIII), followed by treatment with NaN3 and triethyl orthoformate.

参考文献No.604993
标题:Optically active antifungal azoles. X. Synthesis and antifungal activity of N-[4-(azolyl)phenyl] and N-[4-(azolylmethyl)phenyl]-N'[(1R,2R)-2-(2,4-difluorophenyl)-2-hydroxy-1-methyl-3-(1H,1,2,4-triazol-1-yl)propyl]-azolones
作者:Kitazaki, T.; Ichikawa, T.; Tasaka, A.; Hosono, H.; Matsushita, Y.; Hayashi, R.; Okonogi, K.; Itoh, K.
来源:Chem Pharm Bull 2000,48(12),1935
合成路线图解说明:

The condensation between 4-fluoronitrobenzene (I) and tetrazole (II) provided a mixture of regioisomeric (4-nitrophenyl)tetrazoles (III) and (IV). Reduction of this mixture employing hydrazine and FeCl3 gave the corresponding mixture of amino derivatives from which the required isomer (V) was isolated by column chromatography. Alternatively, 4-nitroaniline (VI) was converted into the desired (4-nitrophenyl)tetrazole regioisomer (III) by reaction with sodium azide and trimethyl orthoformate in HOAc. Subsequent reduction of the nitro group of (III) employing hydrazine and FeCl3 gave aniline (V). This compound was also obtained by another alternative procedure consisting in protection of 4-nitroaniline (VI) as the N,N-dibenzyl amine (VII), followed by reduction of the nitro group and cyclization with NaN3 and trimethyl orthoformate to afford tetrazole (VIII). Further hydrogenolysis of the benzyl protecting groups of (VIII) yielded 1-(4-aminophenyl)tetrazole (V). Aniline (V) was then converted to the intermediate phenyl carbamate (IX) by treatment with phenyl chloroformate in pyridine. Optionally, the intermediate phenyl carbamate (IX) was converted into the aryl imidazolone (XII) by condensation with 2,2-diethoxyethylamine (X) and then acid-catalyzed cyclization of the resulting N-(2,2-diethoxyethyl)urea (XI) to give (XII).

合成路线图解说明:

The chiral epoxy alcohol (XIII), prepared from methyl (R)-lactate, was converted to triflate (XIV) by treatment with trifluoromethanesulfonic anhydride in the presence of diisopropylethylamine. Condensation of triflate (XIV) with the sodium salt of imidazolone (XII) afforded (XV). Subsequent oxirane ring opening with 1,2,4-triazole (XVI) in the presence of NaH gave the triazolyl alcohol (XVII). The title imidazolidinone was then obtained by catalytic hydrogenation of imidazolone (XVII).

合成路线图解说明:

The preparation of the epoxide precursor (XV) can also be carried out by an alternative route starting from the chiral hydroxypropiophenone (XVIII), obtained from ethyl (S)-lactate. Hydroxy ketone (XVIII) was converted to triflate (XIX), which was condensed with the sodium salt of imidazolone (XII), yielding adduct (XX). Addition of (dimethylisopropoxysilyl)methylmagnesium chloride to the propiophenone (XX) furnished carbinol (XIX). Oxidative desilylation of (XIX) with H2O2 in the presence of NaHCO3 afforded diol (XXII). This was converted to the corresponding mesylate (XXIII) and then cyclized to oxirane (XV) in the presence of K2CO3.

参考文献No.605003
标题:Optically active antifungal azoles. XI. An alternative synthetic route for 1-[(1R,2R)-2-(2,4-difluorophenyl)-2-hydroxy-1-methyl-3-(1H-1,2,4-triazol-1-yl)propyl]-3-[4-(1H-1-tetrazolyl)phenyl]-2-imidazolidinone (TAK-456) and its analog
作者:Ichikawa, T.; Kitazaki, T.; Matsushita, Y.; Hosono, H.; Yamada, M.; Mizuno, M.; Itoh, K.
来源:Chem Pharm Bull 2000,48(12),1947
合成路线图解说明:

The condensation between 4-fluoronitrobenzene (I) and tetrazole (II) provided a mixture of regioisomeric (4-nitrophenyl)tetrazoles (III) and (IV). Reduction of this mixture employing hydrazine and FeCl3 gave the corresponding mixture of amino derivatives from which the required isomer (V) was isolated by column chromatography. Alternatively, 4-nitroaniline (VI) was converted into the desired (4-nitrophenyl)tetrazole regioisomer (III) by reaction with sodium azide and trimethyl orthoformate in HOAc. Subsequent reduction of the nitro group of (III) employing hydrazine and FeCl3 gave aniline (V). This compound was also obtained by another alternative procedure consisting in protection of 4-nitroaniline (VI) as the N,N-dibenzyl amine (VII), followed by reduction of the nitro group and cyclization with NaN3 and trimethyl orthoformate to afford tetrazole (VIII). Further hydrogenolysis of the benzyl protecting groups of (VIII) yielded 1-(4-aminophenyl)tetrazole (V). Aniline (V) was then converted to the intermediate phenyl carbamate (IX) by treatment with phenyl chloroformate in pyridine. Optionally, the intermediate phenyl carbamate (IX) was converted into the aryl imidazolone (XII) by condensation with 2,2-diethoxyethylamine (X) and then acid-catalyzed cyclization of the resulting N-(2,2-diethoxyethyl)urea (XI) to give (XII).

合成路线图解说明:

In a related procedure, protection of methyl (R)-lactate (XXIV) as the corresponding tetrahydropyranyl ether, followed by treatment with morpholine, gave amide (XXV). Subsequent addition of 2,4-difluorophenylmagnesium bromide (XXVI) to (XXV) afforded propiophenone (XXVII), which was converted into epoxide (XXVIII) by reaction with the ylide resulting from trimethylsulfoxonium iodide. Epoxide ring opening with 1,2,4-triazole (XVI) produced the triazolyl alcohol (XXIX). After acid cleavage of the tetrahydropyranyl protecting group of (XXIX), recrystallization of the diastereomeric mixture provided diol (XXX). Mesylation of the secondary hydroxyl group of (XXX), followed by basic cyclization of the resulting hydroxy mesylate (XXXI), produced epoxide (XXXII). Epoxide (XXXII) was reacted with 2,2-diethoxyethylamine (X) in the presence of Ti(iPrO)4 to give the amino alcohol (XXXIII). Condensation of amine (XXXIII) with carbamate (IX) generated urea (XXXIV), which was then cyclized to imidazolone (XVII) in the presence of HCl. This was finally converted to the title imidazolidinone by catalytic hydrogenation as above.

合成路线图解说明:

The title compound was also obtained by an alternative route consisting in the condensation of amino alcohol (XXXIII) with 4-nitrophenyl isocyanate (XXXV) to give urea (XXXVI), which was then cyclized to imidazolone (XXXVII). Simultaneous reduction of the nitro group and the imidazolone double bond of (XXXVII) by catalytic hydrogenation on Pd/C afforded (XXXVIII). Finally, the tetrazole ring of the target compound was constructed by reaction of aniline (XXXVIII) with NaN3 and trimethyl orthoformate.

合成路线图解说明:

In a further procedure, epoxide (XXXII) was condensed with ethanolamine (XXXIX) to afford amino diol (XL). Coupling of (XL) with carbamate (IX) produced the N-(hydroxyethyl)urea (XLI). Chlorination of the primary hydroxyl group of (XLI) with POCl3, followed by cyclization in the presence of Et3N, gave rise to the title imidazolidinone. Alternatively, amino diol (XL) was coupled with 4-nitrophenyl isocyanate (XXXV) to give urea (XLII). Chlorination of (XLII), followed by cyclization in the presence of Et3N, produced imidazolidinone (XLIII). The tetrazolyl group of the target compound was then introduced by catalytic hydrogenation of the nitro group of (XLIII), followed by treatment with NaN3 and triethyl orthoformate.

Drug Information Express,Drug R&D,Chemical Database,Patent Search.
Copyright © 2006-2026 Drug Future. All rights reserved.Contact Us