【药物名称】MC-04,699, RWJ-333442
化学结构式(Chemical Structure):
参考文献No.591563
标题:Discovery of novel anti-MRSA cephalosporin RWJ-333441 (MC-04,546). Relationships between structure, antibacterial activity, serum stability, pharmacokinetics and efficacy in a series of (3-heteroarylthio)cephems
作者:Griffith, D.; Blais, J.; Hevker, S.; Price, M.; Huie, K.; Halas, S.; Cho, A.; Dudley, M.; Lee, V.; Ludwikow, M.; Chen, S.; Chemberland, S.; Glinka, T.
来源:40th Intersci Conf Antimicrob Agents Chemother (Sept 17 2000, Toronto) 2000,Abst F-1071
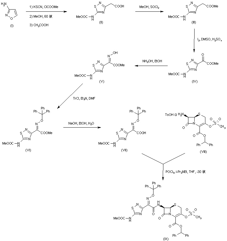
合成路线图解说明:

Thiadiazole (II) was synthesized from 3-aminoisoxazole (I) following a known procedure. Esterification of (II) to give (III) was carried out by treatment with MeOH and SOCl2. Subsequent oxidation of (III) employing I2 in DMSO provided keto ester (IV), which was converted into oxime (V) and then protected as the O-trityl derivative (VI). Basic hydrolysis of the methyl ester group yielded carboxylic acid (VII). Then, coupling of acid (VII) with aminocephalosporin (VIII) by means of POCl3 furnished the corresponding amide (IX).

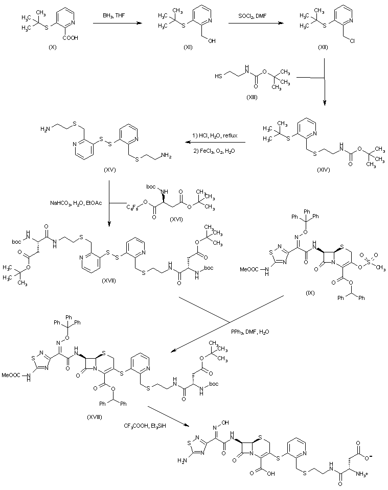
合成路线图解说明:

Borane reduction of 3-tert-butylthiopyridine-2-carboxylic acid (X) provided alcohol (XI), which was chlorinated to (XII) with SOCl2 and subsequently displaced with N-Boc-2-mercaptoethylamine (XIII), yielding thioether (XIV). Acid deprotection of the tert-butyl groups of (XIV), followed by air oxidation in the presence of FeCl3, produced the dimeric disulfide (XV). This was reprotected with Boc2O to afford the biscarbamate (XVI). Disulfide (XVI) was reduced in situ with PPh3 to the corresponding thiol, which was coupled with the cephem mesylate (IX) to produce adduct (XVII). The title compound was finally obtained by cleavage of the protecting groups of (XVII) by means of trifluoroacetic acid.

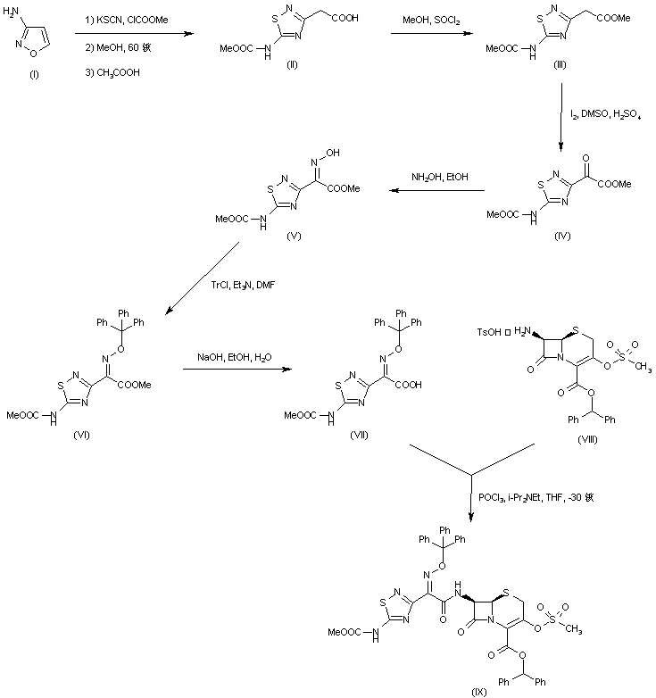
合成路线图解说明:

Thiadiazole (II) was synthesized from 3-aminoisoxazole (I) following a known procedure. Esterification of (II) to give (III) was carried out by treatment with MeOH and SOCl2. Subsequent oxidation of (III) employing I2 in DMSO provided keto ester (IV), which was converted into oxime (V) and then protected as the O-trityl derivative (VI). Basic hydrolysis of the methyl ester group yielded carboxylic acid (VII). Then, coupling of acid (VII) with aminocephalosporin (VIII) by means of POCl3 furnished the corresponding amide (IX).

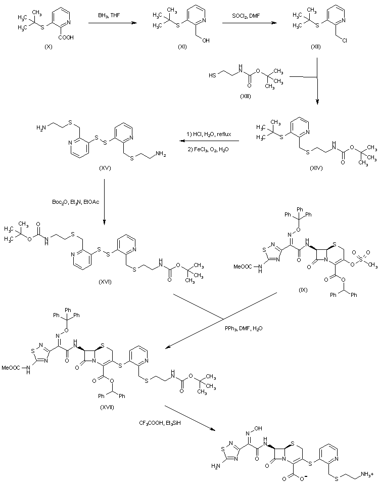
合成路线图解说明:

Borane reduction of 3-tert-butylthiopyridine-2-carboxylic acid (X) provided alcohol (XI), which was chlorinated to (XII) with SOCl2 and subsequently displaced with N-Boc-2-mercaptoethylamine (XIII), yielding thioether (XIV). Acid deprotection of the tert-butyl groups of (XIV), followed by air oxidation in the presence of FeCl3, produced the dimeric disulfide (XV). This was acylated with the protected aspartate pentafluorophenyl ester (XVI) to afford the diamide (XVII). Disulfide (XVII) was reduced in situ with PPh3 to the corresponding thiol, which was coupled with the cephem mesylate (IX) to produce adduct (XVIII). The title compound was finally obtained by cleavage of the protecting groups of (XVIII) by means of trifluoroacetic acid.

参考文献No.591622
标题:Prodrugs of anti-MRSA cephalosporin RWJ-333441 (MC-04,546) with improved aqueous solubility
作者:Hecker, S.J.; et al.
来源:40th Intersci Conf Antimicrob Agents Chemother (Sept 17 2000, Toronto) 2000,Abst F-1076
合成路线图解说明:

Borane reduction of 3-tert-butylthiopyridine-2-carboxylic acid (X) provided alcohol (XI), which was chlorinated to (XII) with SOCl2 and subsequently displaced with N-Boc-2-mercaptoethylamine (XIII), yielding thioether (XIV). Acid deprotection of the tert-butyl groups of (XIV), followed by air oxidation in the presence of FeCl3, produced the dimeric disulfide (XV). This was acylated with the protected aspartate pentafluorophenyl ester (XVI) to afford the diamide (XVII). Disulfide (XVII) was reduced in situ with PPh3 to the corresponding thiol, which was coupled with the cephem mesylate (IX) to produce adduct (XVIII). The title compound was finally obtained by cleavage of the protecting groups of (XVIII) by means of trifluoroacetic acid.

Drug Information Express,Drug R&D,Chemical Database,Patent Search.
Copyright © 2006-2026 Drug Future. All rights reserved.Contact Us