【药物名称】CP-5068
化学结构式(Chemical Structure):
参考文献No.49714
标题:Process for synthesizing carbapenem intermediates using a rhodium catalyst and Lewis acid
作者:Lynch, J.E.; Liu, T.M.-H.; Volante, R.P. (Merck & Co., Inc.)
来源:US 5493018
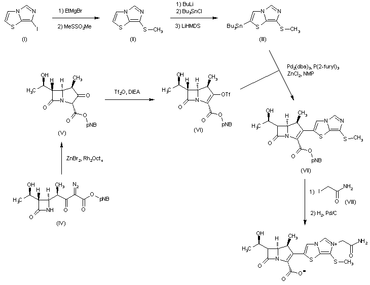
合成路线图解说明:

Imidazothiazole (I) is converted into methylsulfanyl derivative (II) by first reaction with EtMgBr in THF followed by treatment with MeSSO2Me. Lithiation of derivative (II) by means of BuLi in THF/hexane, followed by reaction with tributyltin chloride and LiHMDS, provides tributyltin derivative (III), which is then condensed with carbapenem derivative (VI) by means of Pd(dba)3, P(2-furyl)3 and ZnCl2 in NMP to afford (VII). (Derivative (VI) in turn can be obtained by first cyclization of the diazo compound (IV) by means of ZnBr2 and Rh2Oct4 in MeOAc/THF to provide bicyclic ketoester (V), which is finally treated with triflic anhydride (Tf2O) and DIEA in acetonitrile. The target product is finally obtained by first N-alkylation of the imidazothiazole ring of (VII) with iodoacetamide (VIII) in acetonitrile followed by deprotection of the carboxylic acid by hydrogenation over Pd/C inTHF/H2O.

参考文献No.591569
标题:CP5068, a new carbapenem: Synthesis and structure-activity relationships
作者:Sakakibara, S.; Takata, T.; Yamamoto, K.; Shitara, E.; Shibasaki, Y.; Shimizu, A.; Komiya, I.
来源:40th Intersci Conf Antimicrob Agents Chemother (Sept 17 2000, Toronto) 2000,Abst F-1236
合成路线图解说明:

Imidazothiazole (I) is converted into methylsulfanyl derivative (II) by first reaction with EtMgBr in THF followed by treatment with MeSSO2Me. Lithiation of derivative (II) by means of BuLi in THF/hexane, followed by reaction with tributyltin chloride and LiHMDS, provides tributyltin derivative (III), which is then condensed with carbapenem derivative (VI) by means of Pd(dba)3, P(2-furyl)3 and ZnCl2 in NMP to afford (VII). (Derivative (VI) in turn can be obtained by first cyclization of the diazo compound (IV) by means of ZnBr2 and Rh2Oct4 in MeOAc/THF to provide bicyclic ketoester (V), which is finally treated with triflic anhydride (Tf2O) and DIEA in acetonitrile. The target product is finally obtained by first N-alkylation of the imidazothiazole ring of (VII) with iodoacetamide (VIII) in acetonitrile followed by deprotection of the carboxylic acid by hydrogenation over Pd/C inTHF/H2O.

Drug Information Express,Drug R&D,Chemical Database,Patent Search.
Copyright © 2006-2026 Drug Future. All rights reserved.Contact Us