【药物名称】BMS-247243
化学结构式(Chemical Structure):
参考文献No.36820
标题:Cephalosporin derivs.
作者:Springer, D.M.; Luh, B.Y.; D'Andrea, S.V.; Hudyma, T.W.; Kim, O.K. (Bristol-Myers Squibb Co.)
来源:EP 0966472; WO 9823621
合成路线图解说明:

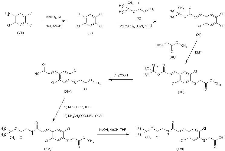
The iodination of trichloroaniline (VIII) via diazotization produced iodide (IX). Subsequent Heck reaction of iodide (IX) with tert-butyl acrylate (X) furnished tert-butyl trichlorocinnamate (XI), which was condensed with the sodium salt of methyl mercaptoacetate (XII), yielding thioether (XIII). After acid cleavage of the tert-butyl ester of (XIII), the resulting carboxylic acid (XIV) was coupled with glycine tert-butyl ester via activation as the corresponding N-hydroxysuccinimidyl ester. Then, saponification of the methyl ester group of (XV) afforded the intermediate acid (XVI).

合成路线图解说明:

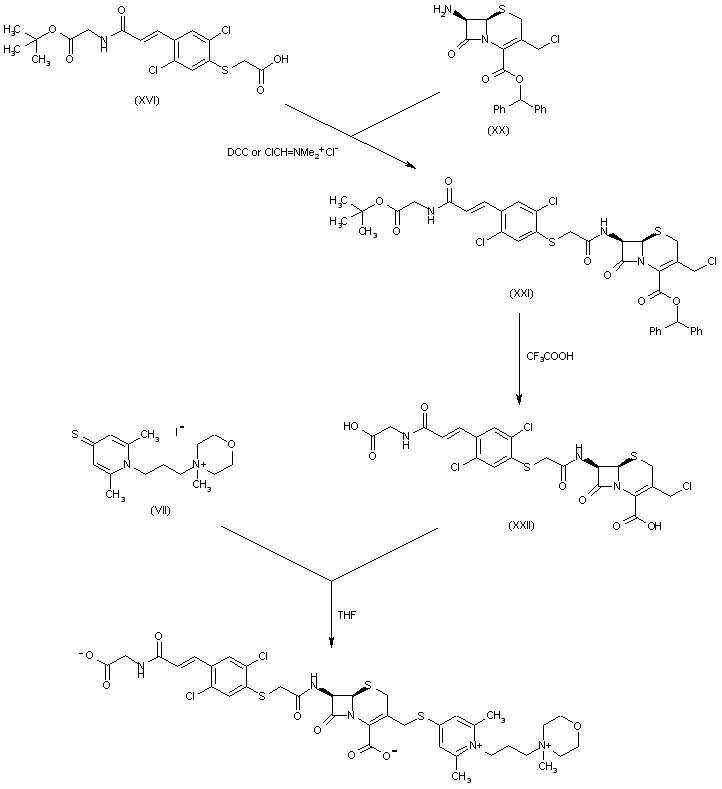
Acylation of the cephem nucleus (XX) with the intermediate acid (XVI) via activation with either DCC or the Vilsmeier reagent provided amide (XXI). The ester groups of (XXI) were then cleaved with trifluoroacetic acid to give acid (XXII). Finally, condensation of (XXII) with pyridine thione (VII) furnished the title compound.

参考文献No.591572
标题:Discovery, synthesis and SAR of BMS-247243, a novel cephalosporin active against methicillin-resistant Staphylococcus aureus (MRSA) and susceptible Staphylococcus aureus (MSSA)
作者:Kim, O.; et al.
来源:40th Intersci Conf Antimicrob Agents Chemother (Sept 17 2000, Toronto) 2000,Abst F-1062
合成路线图解说明:

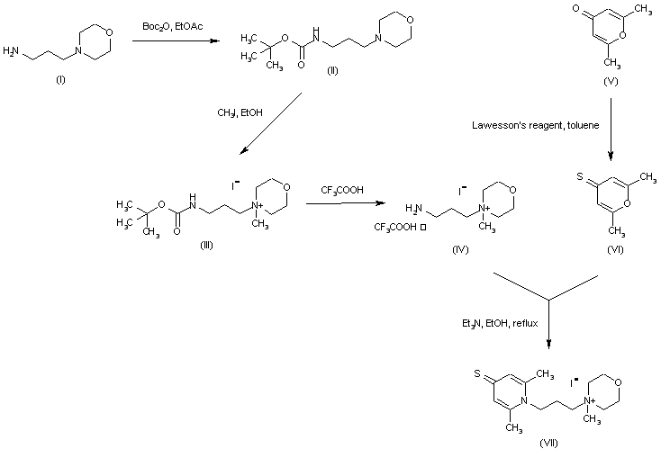
N-(3-Aminopropyl)morpholine (I) was protected as the N-Boc derivative (II) and then quaternized with iodomethane to produce the ammonium salt (III). Subsequent acid deprotection of (III) gave amine (IV). Treatment of 2,6-dimethyl-4-pyrone (V) with Lawesson抯 reagent in toluene yielded the thiono derivative (VI), which was coupled with amine (IV) to afford the pyridine thione (VII).

合成路线图解说明:

Acylation of the cephem nucleus (XX) with the intermediate acid (XVI) via activation with either DCC or the Vilsmeier reagent provided amide (XXI). The ester groups of (XXI) were then cleaved with trifluoroacetic acid to give acid (XXII). Finally, condensation of (XXII) with pyridine thione (VII) furnished the title compound.

参考文献No.603206
标题:A practical synthesis of an anti-methicillin resistant Staphylococcus aureus cephalosporin BMS-247243
作者:Singh, J.; et al.
来源:Org Process Res Dev 2000,4(6),488
合成路线图解说明:

N-(3-Aminopropyl)morpholine (I) was protected as the N-Boc derivative (II) and then quaternized with iodomethane to produce the ammonium salt (III). Subsequent acid deprotection of (III) gave amine (IV). Treatment of 2,6-dimethyl-4-pyrone (V) with Lawesson抯 reagent in toluene yielded the thiono derivative (VI), which was coupled with amine (IV) to afford the pyridine thione (VII).

合成路线图解说明:

The iodination of trichloroaniline (VIII) via diazotization produced iodide (IX). Subsequent Heck reaction of iodide (IX) with tert-butyl acrylate (X) furnished tert-butyl trichlorocinnamate (XI), which was condensed with the sodium salt of methyl mercaptoacetate (XII), yielding thioether (XIII). After acid cleavage of the tert-butyl ester of (XIII), the resulting carboxylic acid (XIV) was coupled with glycine tert-butyl ester via activation as the corresponding N-hydroxysuccinimidyl ester. Then, saponification of the methyl ester group of (XV) afforded the intermediate acid (XVI).

合成路线图解说明:

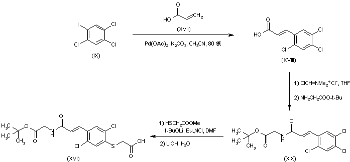
An improved procedure for the synthesis of intermediate (XVI) was further developed. Heck coupling of iodide (IX) with acrylic acid formed cinnamic acid (XVIII). This was converted to the corresponding acid chloride upon treatment with Vilsmeier reagent, and subsequent coupling with glycine tert-butyl ester gave amide (XIX). Selective chlorine displacement in (XIX) by means of the lithium salt of methyl mercaptoacetate, followed by in situ hydrolysis with LiOH, afforded acid (XVI).

合成路线图解说明:

Acylation of the cephem nucleus (XX) with the intermediate acid (XVI) via activation with either DCC or the Vilsmeier reagent provided amide (XXI). The ester groups of (XXI) were then cleaved with trifluoroacetic acid to give acid (XXII). Finally, condensation of (XXII) with pyridine thione (VII) furnished the title compound.

Drug Information Express,Drug R&D,Chemical Database,Patent Search.
Copyright © 2006-2026 Drug Future. All rights reserved.Contact Us