【药物名称】RO-4908463, CS-023, R-115685
化学结构式(Chemical Structure):
参考文献No.591558
标题:R-115685, a novel parenteral carbapenem: Synthesis and structure-activity relationships
作者:Kanno, O.; Shibayama, T.; Ohya, S.; Shimoji, Y.; Kuwahara, S.; Ishikawa, K.; Kojima, K.; Kawamoto, I.
来源:40th Intersci Conf Antimicrob Agents Chemother (Sept 17 2000, Toronto) 2000,Abst F-1229
合成路线图解说明:

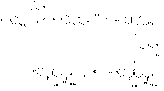
The pyrrolidine intermediate (VII) has been obtained as follows: The acylation of N-Boc-pyrrolidine-3(R)-amine (I) with chloroacetyl chloride (II) and TEA in dichloromethane gives the acetamide (III), which by treatment with ammonia in methanol/water yields the glycinamide (IV). The reaction of (IV) with protected S-methylisothiourea (V) in methanol affords the protected guanidine (VI). The N-Boc deprotection of (VI) by means of HCl in ethyl acetate/acetonitrile affords the target pyrrolidine intermediate (VII).

合成路线图解说明:

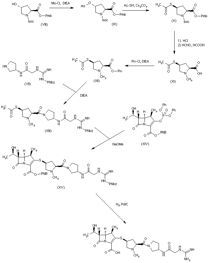
The reaction of the hydroxyproline 4-methoxybenzyl ester (VIII) with Ms-Cl and DIEA in THF gives the mesylate (IX), which is treated with thioacetic acid and Cs2CO3 in DMA to yield the acetylsulfanyl derivative (X). The Boc deprotection of (X) with 4N HCl in ethyl acetate, followed by methylation with HCHO/HCOOH and simultaneous ester hydrolysis, affords the methylated proline (XI), which is activated with pivaloyl chloride and DIEA in acetonitrile to the mixed anhydride (XII). The condensation of (XII) with the intermediate pyrrolidine (VII) by means of DIEA in acetonitrile provides the adduct (XIII), which is further condensed with the carbapenem (XIV) by means of NaOMe in methanol to give the intermediate (XV). Finally, this compound is deprotected by hydrogenation with H2 over Pd/C in THF/water to furnish the target 1-beta-methyl carbapenem.

Drug Information Express,Drug R&D,Chemical Database,Patent Search.
Copyright © 2006-2026 Drug Future. All rights reserved.Contact Us