【药物名称】Mitratapide, R-103757
化学结构式(Chemical Structure):
参考文献No.591595
标题:Structure-activity relationship of a novel chemical family of MTP inhibitors with lipid-lowering properties
作者:Backx, L.; Meerpoel, L.; Heeres, J.; et al.
来源:16th Int Symp Med Chem (Sept 18 2000, Bologna) 2000,Abst PA-142
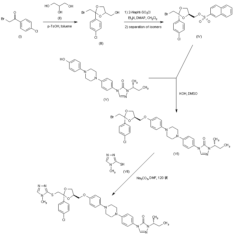
合成路线图解说明:

Bromoacetophenone (I) was converted into a cis/trans mixture of ketals (III) by treatment with glycerin (II) and p-toluenesulfonic acid. Subsequent reaction of (III) with 2-naphthalenesulfonyl chloride gave the corresponding mixture of sulfonate esters. After separation of the desired cis-isomer (IV), its condensation with the phenol derivative (V) produced ether (VI). Finally, displacement of the bromine atom of (VI) with 3-mercapto-4-methyl-1,2,4-triazole (VII) using Na2CO3 in DMF gave rise to the title thioether.

Drug Information Express,Drug R&D,Chemical Database,Patent Search.
Copyright © 2006-2026 Drug Future. All rights reserved.Contact Us