【药物名称】CGS-34225
化学结构式(Chemical Structure):
参考文献No.57821
标题:Certain thiol inhibitors of endothelin-converting enzyme
作者:Fink, C.A.; De Lombaert, S.; Hoyer, D.W.; Jeng, A.Y.; Firoozina, F. (Novartis AG; Novartis Pharma GmbH)
来源:WO 9955726
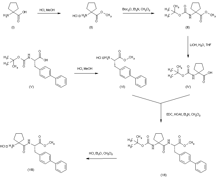
合成路线图解说明:

Cycloleucine (I) is esterified with HCl/MeOH, and the resultant amino ester (II) is further protected as the tert-butyl carbamate (III) employing Boc2O and Et3N in CH2Cl2. Then, hydrolysis of the methyl ester group of (III) with LiOH furnishes N-Boc-cycloleucine (IV). N-Boc-L-Biphenylalanine (V) is simultaneously deprotected and esterified with HCl/MeOH to yield amino ester (VI). Coupling between N-Boc-cycloleucine (IV) and L-biphenylalanine methyl ester (VI) in the presence of EDC/HOAt gives rise to the protected dipeptide (VII). Subsequent removal of the N-Boc group of (VII) under acidic conditions yields the dipeptide methyl ester (VIII).

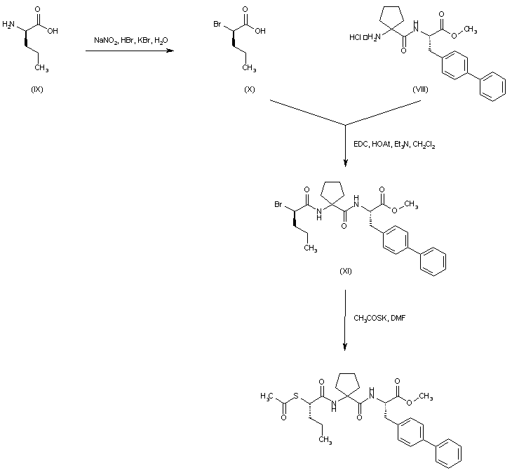
合成路线图解说明:

Diazotization of (R)-2-aminopentanoic acid (IX) in the presence of HBr/KBr gives rise to the configuration-retained alpha-bromoacid (X). This is further coupled to the dipeptide ester (VIII) in the presence of EDC/HOAt to furnish the corresponding alpha-bromo amide (XI). Finally, displacement of the bromide group of (XI) with potassium thioacetate in DMF leads to the target thioacetate ester.

Drug Information Express,Drug R&D,Chemical Database,Patent Search.
Copyright © 2006-2026 Drug Future. All rights reserved.Contact Us